Осмометрия
ОСМОМЕТРИЯ (от осмос и греч. metreo-измеряю), совокупность методов определения осмотич. давления
. Измерения проводят с помощью приборов - осмометров разл. конструкций. В них р-р (или дисперсионная система) отделен от чистого р-рителя мембраной, проницаемой для р-рителя (дисперсной среды), но непроницаемой для растворенного в-ва (дисперсной фазы). Измеряют избыточное давление, к-рое должно быть приложено к р-ру. чтобы предотвратить его самопроизвольное разбавление диффундирующим сквозь мембрану р-рителем. В статич. осмометрах непосредственно измеряют это давление после достижения равновесия по высоте столба жидкости, к-рая устанавливается в результате проникновения р-рителя через мембрану в р-р. В динамич. осмометрах измеряют зависимость скорости перехода р-рителя через мембрану от перепада давления по обе ее стороны (т. наз. противодавления р). Скорость движения р-рителя w становится равной нулю при р =
. Обычно строят графич. зависимость w =f(p)и путем экстраполяции до w = 0 находят осмотич. давление.
Осмометрию используют при расчетах аппаратов обратного осмоса, но осн. приложение ее состоит в определении мол. массы полимеров. Согласно закону Вант-Гоффа (см. Осмос), осмотич. давление равно противодавлению, к-рое нужно создать над идеальным или бесконечно разб. р-ром, чтобы выравнить хим. потенциалы р-рителя в камерах до и после мембраны. Такое давление формально вычисляют по тому же ур-нию, что и давление идеального газа:
V=nRT, где п - число молей растворенного в-ва, V- объем р-ра, R - газовая постоянная, Т - абс. т-ра. Это ур-ние можно записать в виде:
/С = RT/M, где С - концентрация растворенного в-ва, М - его мол. масса. Отклонение от идеальности приводит к зависимости величины
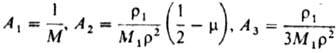
от концентрации С. Согласно статистич. теории Флори Хаггинса, для разб. р-ров полимеров справедливо выражение:
= RT/A1 + A2C + + А3С2 + ...), где А, величины, связанные с вириальными коэф., учитывающими двойные, тройные и др. взаимод. молекул;

где М1 и М -мол. массы р-рителя и полимера соотв.,
и
-их плотности,
константа, характеризующая взаимод. поли-мера с р-рителем.
Пренебрегая концентрац. членами высших порядков, получим:
т.е. ур-ние прямой в координатах p/С -С. Тангенс угла наклона этой прямой равен
, что используют для нахождения величины
.
Для определения мол. массы измеряют осмотич. давление ряда разб. р-ров с разл. концентрацией исследуемого полимера в одном и том же р-рителе и экстраполируют зависимости
/С = f(С) до значений С = 0. Поскольку полимеры полидисперсны, то найденная мол. масса является усредненной по числу молекул.
При измерениях пользуются как статич., так и динамич. осмометрами. Статич. методы характеризуются относит. большим временем установления равновесия, так что низ-комол. примеси успевают равномерно распределиться по обе стороны мембраны и поэтому не оказывают влияния на результаты измерений. Однако возможна адсорбция полимера мембраной, что снижает точность определения мол. массы. При использовании динамич. методов адсорбция полимера мембраной не вносит заметной ошибки, но этот метод требует более сложной аппаратуры и точность его меньше, чем у статич. метода, если р-р содержит низкомол. примеси. Диапазон измеряемых мол. масс с помощью осмометрии составляет 103-106.
Лит.: Дытнерский Ю. И., Обратный осмос и ультрафильтрация, М., 1978.
Е. П. Агеев.