Кнёвенагеля реакция
КНЁВЕНАГЕЛЯ РЕАКЦИЯ, конденсация карбонильных соед. с малоновой к-той или с ее эфирами в присут. вторичных аминов; в широком смысле - конденсация карбонильных соед. с в-вами, содержащими активную метиленовую группу (напр., с b-дикетонами) в присут. оснований:
Исходные в-ва обычно нагревают до т-ры не выше 100°С в этаноле, бензоле или пиридине. В качестве оснований используют NH3, RNH2, R2NH, KF, RbF, CsF. Иногда для проведения процесса достаточно простого смешения р-ров реагентов без катализатора при комнатной т-ре. В нек-рых случаях, особенно при использовании в качестве в-в с активной метиленовой группой циануксусной к-ты или ее эфиров, р-цию проводят в присут. пиперидина, b-аланина или CH3COONH4 с удалением образующейся Н2О азеотропной перегонкой (модификация Коупа). Выходы Кнёвенагеля реакции достигают 60-80%. При взаимод. алифатич. или ароматич. альдегидов с к-тами, содержащими в a-положении к карбоксильной группе активную метиленовую, в среде пиридина (часто с добавкой пиперидина) при 100°С наряду с Кнёвенагеля реакцией происходит декарбоксилирование (модификация Дёбнера), напр.:
СН3СНО+СН2(СООН)2:СН3СН=СНСООН+СО2+Н2О
С6Н5СНО+CH2(CN)COOH:C6H5CH=CHCN+СО2+Н2О
Если в a-положении к карбонильной группе находится заместитель с сильным отрицат. индуктивным эффектом, образуются гидроксикислоты, напр.:
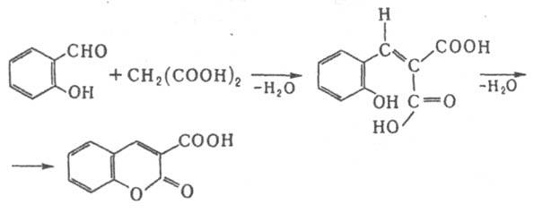
При взаимод. альдегидов с малоновой или алкилмалоновыми к-тами в спиртовом р-ре в присут. NH3 или RNH2 побочно образуются р-аминокислоты, к-рые при избытке катализатора могут стать основными продуктами р-ции. Используя Кнёвенагеля реакцию, можно получить гетероциклич. соед., напр.:
Механизм Кнёвенагеля реакции включает отрыв от метиленовой группы под действием основания (В) протона и послед. его перенос к промежут. соединениям:
Первая стадия протекает быстрее последующих. Кинетика р-ции обычно описывается ур-нием второго порядка. Кнёвенагеля реакцию широко применяют для синтеза пестицидов, красителей, лек. ср-в и мономеров. Она открыта Э. Кнёвенагелем в 1896. Лит.. Серрей А., Справочник по органическим реакциям, пер. с англ., М., 1962, с. 150 52; Jones G., "Organic Reactions", 1967, v. 15, p. 204 599. С К. Смирнов.
Синонимы/примеры:*
Конденсация Кнёвенагеля; Реакция Кнёвенагеля
*подобраны ИИ, возможны неточности
Ещё по теме
Кневенагеля реакция — метод органического синтеза
Неницеску реакция — механизмы и применение
Реакции конъюгации в метаболизме
Реакция Кижнера — Вольфа — восстановление карбонильных соединений
Пикте — Шпенглера реакция — особенности и применение
Кижнера реакция — открытие и применение
Канниццаро реакция — механизм и применение
Кнорра реакции — методы синтеза азотсодержащих гетероциклических соединений
Реакции Циглера в органической химии
Методы получения эфиров 3-оксокарбоновых кислот