Этилендиамин

ЭТИЛЕНДИАМИН (1,2-диаминоэтан) Н2NC2Н4NH2, мол. м. 60,099; бесцв. жидкость с аминным запахом, дымящая на воздухе; т. пл. 10,9 °С, т. кип. 117 °С;6043-84.jpg0,8966;6043-85.jpg1,4571;6043-86.jpg 6,34 х 10-30 Кл-м;6043-87.jpg 1,35 мПа х с (25 °С); давление пара 1,21 кПа (20 °С);6043-88.jpg 3,41 Дж/(г х К);6043-89.jpg 636,4 Дж/г; pК1 3,83, рК2 6,56; образует с водой азеотропную смесь (81,6% по массе этилендиамина, т. кип. 119 °С); смешивается с водой (с разогревом) и с большинством орг. р-рителей, не раств. в углеводородах.
Этилендиамин обладает хим. св-вами диаминов. С к-тами образует два ряда солей, с металлами (Сu, Мn, Со и др.) - комплексные соли. Нитрат этилендиамина при нагр. отщепляет две молекулы воды с образованием взрывчатого в-ва - этилендинитрамина:

6043-90.jpg

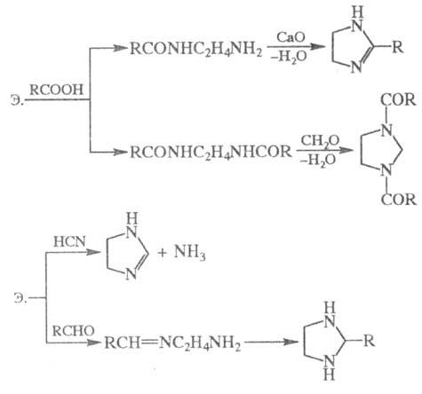
Нагревание этилендиамина с одноосновными карбоновыми к-тами приводит к моно- и диамидам, способным циклизоваться в имидазолины и имидазолидины; аналогично протекают р-ции с HCN и альдегидами, напр.:

6043-91.jpg

Самоконденсация этилендиамина при повышенных т-ре и давлении в присут. катализатора дает пиперазин, конденсация этилендиамина с 1,2-дикетонами - 2,3-дигидропиразины, с мочевиной -2-имидазолидинон (этиленмочевину).

При взаимод. этилендиамина с С1СН2СООН или со смесью СН2О и НС1 образуется этилендиаминтетрауксусная кислота.
Р-ция этилендиамина с 1 эквивалентом CS2 приводит к 2-меркаптоимидазолину, с 2 эквивалентами CS2 в присут. щелочи - к этилен-бис- (дитиокарбамату):

6043-92.jpg

С алкилгалогенидами этилендиамин дает моно- и дизамещенные продукты, с дигалогенидами образуются катионные полимерные продукты (водорастворимые или гелеобразные), напр.:

6043-93.jpg

6043-94.jpg

Этилендиамин цианэтилируется акрилонитрилом, оксиалкилируется эпоксидами с образованием проксаминов, напр.:

6043-95.jpg

Получают этилендиамин взаимод. дихлорэтана с NH3 (жидким или водным) при 100 °С либо каталитич. гидрированием смеси моноэтаноламина с NH3 при 150-230 °С.
Этилендиамин образуется также непосредственно из этилена и NH3 либо из СН2О, NH3 и HCN в присут. катализатора.
Этилендиамин - компонент пластификаторов феноло-формальдегидных смол, полиуретановых волокон, используется для стабилизации смазочных масел и каучуковых латексов, в произ-ве полиуретанов и термопластичных адгезивов, для получения этилендиаминтетрауксусной к-ты, фунгицидов (напр., цинеба, полимарцина), присадок к моторным маслам, лек. ср-в и др.
Этилендиамин раздражает слизистые оболочки верхних дыхат. путей и кожу, поражает печень. ПДК в атм. воздухе 0,03 мг/м3, в воздухе рабочей зоны 2 мг/м3, в воде водоемов хозяйств.-бытового пользования 0,2 мг/м3.
Т. всп. 33 °С, т. самовоспл. 390 °С, КПВ 3,82-19,6%.

Лит.: Вредные вещества в промышленности, 7 изд., т. 2, Л., 1976, с. 232-33; Ullmann's Encyclopedia, 5 ed., Bd A2, Weinheim, 1985, p. 23-26.

П. А. Гембицкий.

Синонимы/примеры:* 1,2-диаминоэтан; 1,2-этандиамин; ЭДА
*подобраны ИИ, возможны неточности