Имидазолины
ИМИДАЗОЛИНЫ (дигидроимидазолы), мол. м. 70,04. Различают 2-, 3- и 4-имидазолины (ф-лы соотв. I-III).
Наиб. изучены 2-имидазолины. Они представляют собой циклич. амидины и являются сильными основаниями. Для незамещенного 2-имидазолина положения 4 и 5 равноценны, как и в имидазоле. Кольцо 2-имидазолинов малоустойчиво и легко расщепляется при бензоилировании или обработке бензолсульфохлоридом в присут. щелочей с образованием ацильных или бензолсульфамидных производных 1,2-диамидоэтана, напр.:
Дегидрирование 2-имидазолинов при 350-400 °С на Ni-катализаторе приводит к имидазолу. Из производных имидазолинов наиб. важны 2- и 4-имидазолиноны (кетодигидроимидазолы, IV-VI), а также имидазолидиноны (кетотетрагидроимидазолы) и их тиопроизводные VII и VIII.
Имидазолиноны обладают слабыми основными и кислыми (при R = Н) св-вами. Для них характерна таутомерия, напр.:
Для соед. IV и V образование таутомерией формы наблюдается лишь при наличии в кольце сильного электроно-акцепторного заместителя. В разб. к-тах 2-имидазолиноны легко димеризуются. В ряду 3-имидазолинов известны гл. обр. N-гидроксиды и стабильные китроксильные радикалы. Незамещенный 2-имидазолин получают циклизацией N,N'-диформилэтилендиамина при 400-600 °С в присут. силикагеля. Замещенные 2-имидазолины синтезируют взаимод. карбоновых к-т с 1,2-этилендиамином (в присут. НСl или n-толуолсульфокислоты) или 2-имидазолидиноном (N,N'-этиленмочевиной):
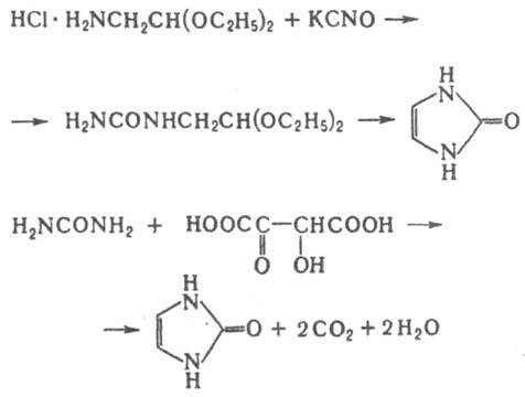
4-Имидазолин-2-оны получают по р-циям:
2-Имидазолин-4-оны синтезируют из иминоэфиров, напр.:
2-Имидазолидиноны образуются при взаимод. N,N'-дизамещенных этилендиаминов с фосгеном или N-монозамещенных этилендиаминов с цианатом калия; 2-имидазолидинтионы - при взаимод. этилендиаминов с CS2. Производные имидазолинов лек. препараты (напр., галазолин, нафтизин, фентоламин и др.), фунгициды, ускорители вулканизации, катионные ПАВ для масло- и грязеотталкивающей обработки тканей и волокон.
Литература
Иванский В. И., Химия гетероциклических соединений, М., 1978, с. 149-63; Володарский Л. Б., "Химия гетероциклических соединений", 1973, № 10, с. 1299-1310; Comprehensive heterocyclic chemistry, ed. by A. R. Katritzky, v. 5, N. Y.-L, 1984, p.345. A. Д. Гарновский.
Синонимы/примеры:*
Имидазолидин; 2-имидазолин; 4-имидазолин
*подобраны ИИ, возможны неточности
Ещё по теме
Имидазол — свойства и применение
Полибензимидазолы — свойства и применение
Оксазолины — свойства и применение замещённых производных
Полибензимидазолы — свойства и применение
Имидазол — получение и свойства
Триазолы — свойства и применение
Хиназолин — свойства и применение
Оксазолидины — свойства и применение
Диазосоединения — свойства и применение
Оксадиазолы — свойства и синтез