Серосодержащие алкалоиды
СЕРОСОДЕРЖАЩИЕ АЛКАЛОИДЫ, содержат в молекуле атомы S; распространены в растениях семейств крестоцветных (Cruciferae), кувшинковых (Nymphacaceae) и нек-рых др.
Все серосодержащие алкалоиды условно можно разделить на группы: алкалоиды Nuphar семейства кувшинковых, пептидные алкалоиды, производные дитиолана, 1,3-оксазолидин-2-тиона, мочевины, тиомочевины и триптофана.
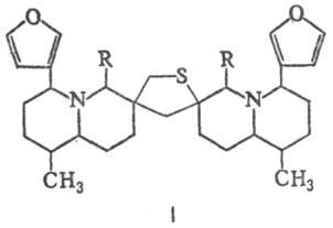
К алкалоидам Nuphar относят стереоизомеры ф-лы I (R = Н): тиобинуфаридин (т.пл. 129-130°С; для дилер-хлората т. пл. 283-284 °С, [a]D + 49,9°), тионуфлутин-В и неотиобинуфаридин (т.пл. 159-160°С; для диперхлората т.пл. 320°С, [a]D —93,1°), а также их производные, в частности нуфелин, или 6,6'-дигидрокситионуфлутин-А (I; R = = ОН). Последний представляет собой стеклообразное в-во, т. пл. его диперхлората 225-226 °С, [a]D + 44,5°.
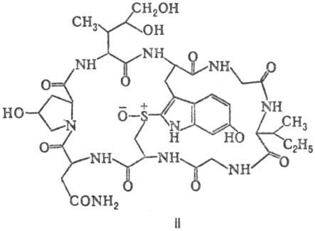
Пептидные алкалоиды выделены из спиртового экстракта гриба бледная поганка (Amanita phalloides), представляют собой циклопептидные основания, содержащие ядро индола. Их можно разделить на группы аманитина (II) и фаллоидина (III), представители к-рых дают с коричным альдегидом соотв. ярко-фиолетовую и слабую голубую окраску.



Серосодержащие алкалоиды-производные дитиолана, выделены из растений не-к-рых видов семейства Rhyzophoraceae. К ним относят, напр., жераррдин (IV), бругин (V), кассипурин (VI).
Серосодержащие алкалоиды-производные 1,3-оксазолидин-2-тиона, малочисленны, имеют заместители, как правило, в положении 5. Выделены в осн. из семян растений рода Brassica семейства крестоцветных. Самый распространенный алкалоид этой группы - 5-винил-1,3-оксазолидин-2-тион (VII).


Производные мочевины наиб. часто встречаются в растениях семейства крестоцветных. Так, из растения Dipthycho-carpus strictus выделено ок. 10 алкалоидов общей ф-лы VIII.
Единств. алкалоид-производное тиомочевины-запотидин (IX), выделенный из семян растения Cassimiroa edulis семейства Rutaccae.
Производные триптофана выделены из семян растений семейств крестоцветных, Capparidacaeae и Tovaricaceae. Эти в-ва при ферментативном расщеплении дают роданид, глюкозу, индолацетонитрил и индолуксусную к-ту. Примерами данного вида серосодержащих алкалоидов могут служить глюкобрассицин (X; R = = Н) и неоглюкобрассицин (X; R = ОСН3).
Спектр фармакологич. действия серосодержащих алкалоидов очень широк. Алкалоиды Nuphar издавна применяются при воспалении тонких кишок, гингивитах, кожных болезнях. Нуфелин задерживает рост грибов и бактерий; в медицине применяется в смеси с тиобинуфаридином (препарат лютенурин). Серосодержащие алкалоиды группы 1,3-оксазолидин-2-тиона проявляют антитиреоидную активность, производные мочевины обладают антигипоксич. действием.
Лит.: Арипова С. Ф., Юнусов С. Ю., "Химия природных соединений", 1978, № 1, с. 26-41. С.Ф. Арипова.