Дитерпeновые алкалoиды
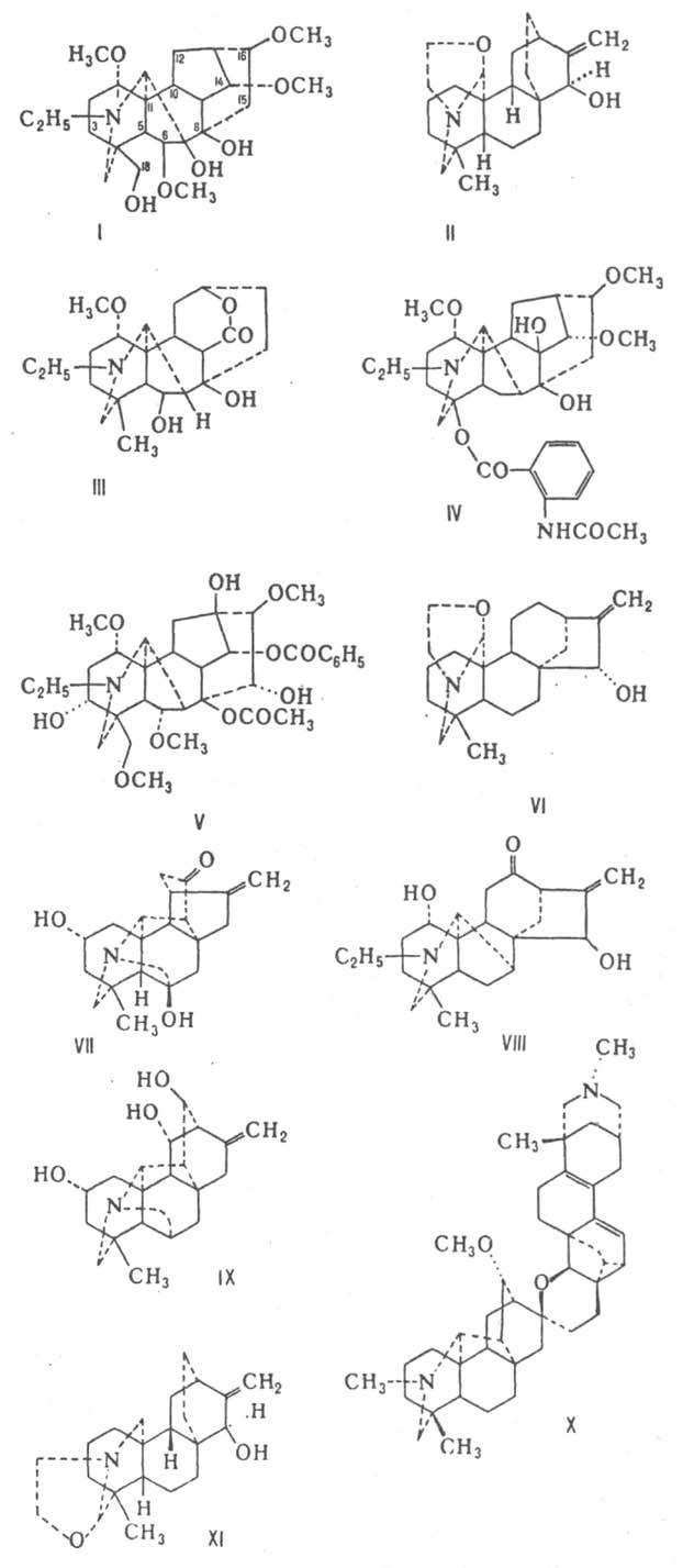
ДИТЕРПEНОВЫЕ АЛКАЛOИДЫ (аконитовые алкалоиды), найдены в растениях семейств Ranunculaceae (лютиковые), Garryaceae, Rosaceae (розоцветные), Compositae (сложноцветные), Escaloniaceae. Наиб. богаты ими растения родов Aconitum (аконит), Delphinium (живокость) и Garrya (гаррия). Выделено ок. 200 представителей дитерпеновых алкалоидов, к-рые разделяются на алкалоиды С19 и С20, имеющие в молекулах скелеты соотв. ликоктонина (ф-ла I) и пергидрофенантрена (как, напр., в атизине - ф-ла II). Более распространены С19-алкалоиды, к к-рым относятся и т. н. модифицированные алкалоиды типа гетeратизина (III) и лаппаконитина (IV). С19-Алкалоиды встречаются в природе в виде аминоспиртов и сложных эфиров уксусной, бензойной, вератровой, антраниловой и др. к-т. Как правило, кислотные остатки находятся в положениях 6, 8, 14 или 18. Дитерпеновые алкалоиды, содержащие сложноэфирные связи, обычно более токсичны. Часто все С19-алкалоиды подразделяют на типы аконитина (V) и ликоктонина. Алкалоиды типа V в результате пиролиза образуют продукты, по к-рым их можно идентифицировать. Для алкалоидов типа I характерны р-ции a-диолов - пинаколиновая перегруппировка, окисление КIO4 и т.д. С20-Алкалоиды очень разнообразны по структуре. Обычно их подразделяют на типы атизина (II), веатхина (VI) и дельнудина (VII). Встречаются дитерпеновые алкалоиды и др. строения, напр., зонгорин (VIII), гетизин (IX), стафизин (X). С20-Алкалоиды типа II легко изомеризуются в соед. типа изоатизина (XI) и наоборот. Характерная особенность этих пар - существенное различие в их основности: соед. типа (XI), как правило, менее основны. Осуществлен полный синтез нек-рых дитерпеновых алкалоидов. В природе они образуются, вероятно, из тетрациклич. или пентациклич. дитерпенов и b-этаноламина, метиламина или этиламина. С20-Алкалоиды - биогенетич. предшественники С19-алкалоидов. Среди дитерпеновых алкалоидов обнаружены соед. с противоаритмич., местноанестeзирующими, спазмолитич., противовоспалит., психостимулирующими, аритмогенными св-вами.
На их основе созданы лек. ср-ва курареподобного действия. Наиб. изучен среди дитерпеновых алкалоидов аконитин: т. пл. 202-203 °С, [a]D + 19° (хлороформ); раств. в хлороформе, умеренно - в этаноле, ацетоне, плохо - в диэтиловом эфире, бензоле. Это одно из наиб. токсичных соед., выделенных из растений (см. также Яды растении). Летальная доза для человека при приеме внутрь 2,5 мг. Используется в фармакологии для получения модели аритмии сердца; входит в состав аскофита - раздражающе-отвлекающего ср-ва, применяемого при радикулитах, ревматизме, невралгиях.
Литература
Pelletier S. W., Keith L. H., Chemistry of the alkaloids, N. Y., 1970, p. 503-47. М.С. Юнусов.
Ещё по теме
Серосодержащие алкалоиды — типы, свойства и применение
Стероидные алкалоиды — строение и свойства
Пептидные алкалоиды — строение и свойства
Тропановые алкалоиды
Пирролизидиновые алкалоиды — свойства и применение
Эритриновые алкалоиды — строение и свойства
Пиридиновые алкалоиды — свойства и применение
Алкалоиды — свойства и применение
Алкалоиды — свойства и применение
Реадиновые алкалоиды — структура и свойства
Фенетилизохинолиновые алкалоиды — группы и свойства
Хинолиновые алкалоиды — структура и свойства
Хинолизидиновые алкалоиды — строение и биологическая роль