Оксазолидин
ОКСАЗОЛИДИН (тетрагидрооксазол), мол. м. 73,09. Незамещенный оксазолидин не выделен; замещенные оксазолидины-бесцв. орг. жидкости; хорошо раств. в орг. растворителях, не раств. в воде.

При действии водных р-ров щелочей и к-т замещенные оксазолидины легко гидролизуются с образованием альдегидов или кето-нов и аминоспиртов, напр.:

N-Замещенные оксазолидины при действии восстановителей (LiAlH4, NaBH4, амальгама Na, H2 в присут. Ni или Pd), а также при взаимод. с магнийорг. соед. превращаются в соответствующие аминоспирты; в водной среде в присут. Н2О2 и солей Fе(П)-в N-(
-гидроксиэтил)амиды к-т, напр.:

При нагр. до 120-150°С в присут. ди-трет-бутилперокси-да замещенные оксазолидины превращ. в N,N-дизамещенные амиды к-т, напр.:

Оксазолидины, незамещенные по атому N, при нагр. перегруппировываются в основания Шиффа:

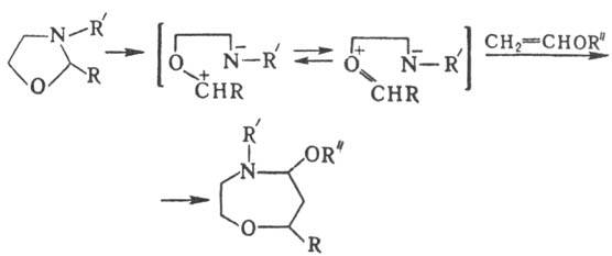
Замещенные оксазолидины реагируют с ацетиленами и олефинами, напр.:

2,3-Дизамещенные оксазолидины в присут. к-т Льюиса вступают в 1,5-диполярное присоединение с еноловыми эфирами, образуя пергидро-1,4-оксазепины:

Общий метод получения замещенных оксазолидинов- циклоконденса-ция
-аминоспиртов с альдегидами и кетонами:

В случае аминоспиртов, содержащих первичную аминогруппу, р-ция осложняется образованием оснований Шиффа. Взаимод. этаноламина с СН2О не приводит к образованию незамещенного оксазолидина вследствие полимеризации последнего в условиях р-ции.
Др. методы синтеза замещенных оксазолидинов:

Замещенные оксазолидины применяют в орг. химии для синтеза нитроксильных радикалов; нек-рые оксазолидины биологически активны, напр. 2-арил-З-метилоксазолидин проявляет радиозащитные св-ва.
Лит.: Гетероциклические соединения, под ред. Р. Эльдерфилда, пер. с англ., т. 5, М., 1961, с. 312; Латыпова Ф. Н. [и др.], "Acta Phys. Chem.", 1981, v. 27,p. 87-124. P. А. Караханов, В. И. Келарев.