Полиэфирные волокна
ПОЛИЭФИРНЫЕ ВОЛОКНА, синтетич. волокна, формуемые из сложных полиэфиров. Осн. пром. значение имеют полиэфирные волокна из полиэтилентерефталата (ПЭТ). Полиэфирные волокна получают также на основе химически модифицированного ПЭТ (со-полиэфирные волокна) и в значительно меньших кол-вах - из поликарбонатов, полиэтиленоксибензоата, поликсилилен-гликольтерефталата, жидкокристаллич. полиэфиров, поли-гликолидов и др.
Полиэтилентерефталатное волокно (лавсан, терилен, дакрон, элана, тревира, тетерон, гризутен, тергаль, слотера, терленка, терел и др.).
Получение. Полиэфирные волокна формуют из расплава (см. Формование химических волокон), используя ПЭТ с мол. м. (20-25)·103 (жгут и текстильные нити) или с мол. м. (30-40)·103 (техн. нити). В ПЭТ должно содержаться (% по массе): влаги не более 0,01; диэтиленгликоля не более 1,0; сухого остатка не более 0,06; ТiO2 от 0,05 до 2; красителя от 0,4 до 2,0; концевых групп СООН не более 40 г-экв/т; вязкость расплава должна составлять 200-700 Па·с (280 °С).
ПЭТ перерабатывают по периодич. схеме (из гранулята) и по непрерывной (прямое формование из расплава ПЭТ после его синтеза). Обычно гранулят ПЭТ плавят при 280-320 °С в экструдерах, производительность к-рых достигает 1-15 кг/мин.
Расплав от одного экструдера распределяется в зависимости от тонины формуемой нити на 20-100 фильер (число отверстий в фильерах при формовании волокон 100-2000, техн. нитей-140-280, текстильных-8-80; диаметр отверстий фильеры 0,2-0,6 мм). Струйки расплава, выходящие из фильеры, интенсивно охлаждаются воздухом в спец. шахте машины формования и затвердевают. Кол-во фильер в одной шахте колеблется от 1 до 16. С целью снятия электростатич. зарядов, улучшения фрикционных св-в волокно обрабатывают замасливателями (см. Текстильно-вспомогательные вещества). Затем оно поступает на приемное устройство, конструкция и скорость к-рого зависят от вида вырабатываемой продукции.
Полиэфирные волокна выпускают в виде комплексных техн. (здесь и далее линейная плотн. 280-3400 дтекс) и текстильных (30-300 дтекс) нитей, мононити (диаметр 0,1-1,5 мм), резаного волокна (1,1-20 дтекс), жгута [1,7-4,4 дтекс, масса 1 м погонного (развес) (50-100)-103 текс], коврового жгутика (20000-30000 дтекс), нетканых материалов (типа "спан-бон").
Резаное волокно и жгут производят гл. обр. прямым формованием с послед. переработкой на спец. агрегате. Сформованные нити, выходящие из 20-50 фильер, объединяются в жгутик, к-рый со скоростью 800-1800 м/мин принимают в контейнер (200-2500 кг жгута). Затем из 20-40 контейнеров собирается общий жгут, подвергаемый последовательно операциям: 1) ориентац. вытягиванию (в 3,0-4,5 раза), осуществляемому в одну или две ступени в паровой либо воздушной камере при 120-180°С со скоростью 100-350 м/мин, и стабилизации удлинения при растяжении 2-4% и т-ре 200-220 °С; 2) гофрированию, после чего жгут приобретает извитость (3-6 извитков на 1 см); 3) термообработке в течение 15-20 мин при 110-140°С (жгут сушится и фиксируются извитки; волокно при этом усаживается на 15-18%); 4) охлаждению; 5) антистатич. обработке. Затем жгут режут, получая волокно, или направляют в жгутоукладчик. Резаные волокна (хлопкового типа длиной 34-40 мм, линейной плотн. 1,1-1,7 дтекс; шерстяного, льняного и мехового типов длиной 60-120 мм, линейной плотн. 3,3-20 дтекс) прессуют в кипы.
Техн. нить формуют из ПЭТ, предварительно подвергнутого дополнит. поликонденсации в расплаве или твердой фазе, и со скоростью 400-1000 м/мин принимают на бобины (масса нити на бобине, т.е. паковки, 10-20 кг). Послед. ориентац. вытягивание (в 4,5-6 раз) осуществляют на кру-тильно-вытяжных машинах со скоростью 150-300 м/мин сначала при 70-90 °С, затем при 150-200 °С; масса паковки 2-6 кг. При получении малоусадочной (усадка до 4% при 150 °С) техн. нити совмещают операции вытягивания и термообработки. Так, на горизонтальных агрегатах нити (одновременно 150-250) подвергают двустадийному вытягиванию в 3,0-3,5 и 2,0-1,5 раза при 90-100 и 150-250 °С соотв. и термообработке в своб. состоянии при 200-240 °С (усадка нити 4-10%). Готовая нить принимается со скоростью ок. 200 м/мин на паковку массой до 20 кг. Техн. нить с линейной плотн. 1110 дтекс подвергают трощению (сложению 2-6 нитей вместе) и крутке (50-100 витков на 1 м) чаще всего на машинах с веретенами двойного кручения со скоростью ок. 50 м/мин. На свежесформованные нити, предназначенные для произ-ва РТИ или шин, наносят адгезионную композицию (содержит эпоксидную смолу и отвердитель аминного типа) в кол-ве 0,4-0,8% от массы нити.
Экономичны схемы произ-ва техн. нитей, совмещающие стадии формования, вытягивания, а иногда и термообработки на одной машине, на к-рой нить со скоростью 2500-3000 м/мин принимается на паковку массой до 20 кг.
Текстильную нить в гладком виде получают обычно по классич. схеме (формование и вытягивание на отдельных машинах) или совмещенной (на одной машине проводятся формование и вытяжка нити со скоростью 3000-4000 м/мин). По первой из них нить формуют со скоростью 1200-2000 м/мин и принимают на паковку массой 5-10 кг. Вытягивают в 3,5-5 раз со скоростью 600-1800 м/мин сначала при 70-90 °С, затем при 120-160°С; масса паковки 1,0-3,0 кг. Если нити подвергают крутке (100-200 витков на 1 м), их обрабатывают затем паром при 110-140°С в течение 0,5-1 ч с целью фиксации крутки, при к-рой происходит также снижение усадки (до 2-4%), после чего перематывают со скоростью 900-1200 м/мин на товарную паковку массой 1,5-3,0 кг.
Совр. технология произ-ва текстильных текстурир. нитей включает две осн. стадии: высокоскоростное формование (до 6000 м/мин) и совмещенный процесс ориентац. вытягивания с текстурированием. Последний проводят на машинах, снабженных механизмом ложной крутки фрикционного типа, со скоростью 600-1000 м/мин; масса паковки 3-5 кг. Текстурир. нить можно подвергать дополнительно трощению, крутке (60-100 витков на 1 м) и поверхностному крашению. Производятся также пневмосоединенные и пневмотекстурир. однородные и неоднородные нити. Интенсивно развивается произ-во пряжеподобных нитей, состоящих из 60-100 элементарных нитей, профилированных, комбинированных, фасонных, разноусадочных и др. нитей (см. Текстурированные нити).
Мононить получают на горизонтальных агрегатах по непрерывной технол. схеме, включающей формование в охладит. водную ванну (50-70°С) одновременно 20-60 мононитей, двустадийное ориентац. вытягивание в 4-5 раз в паровых или воздушных камерах при 120-160°С, термообработку под натяжением (2-10%) или в своб. состоянии при 180-220 °С и приемку со скоростью 80-120 м/мин; масса паковки 1-2 кг.
Свойства волокон приведены в таблице.
Влагопоглощение при 20 °С и 65%-ной относит.- влажности воздуха составляет 0,3-0,4%. Сохранение прочности в мокром состоянии 100%, в петле 80-90%, в узле 70-85%; модуль сдвига при кручении 80-150 МПа. Эластич. восстановление после деформации полиэфирного волокна на 5% равно 85-95%. Усадка в кипящей воде полиэфирного волокна, не подвергнутого термообработке, составляет 5-15%, термообработанного-1-4%. Устойчивость к истиранию полиэфирных волокон в 4-5 раз ниже, чем у полиамидных волокон. Сопротивление многократным изгибам также ниже, чем у полиамидных волокон, но в 2,5 раза выше, чем у гидратцеллюлозных. Ударная прочность полиэфирного корда в 4 раза выше, чем у полиамидного корда, и в 20 раз выше, чем у вискозного.
Интервал рабочих т-р полиэфирных волокон от —60 до 170°С: т. пл. 260 b 2 °С; т-ра нулевой прочности 248 °С; 1,13 кДж/(кг·К). Под действием огня волокно плавится,
но загорается с трудом, после удаления из огня самозатухает. Для снижения горючести полиэфирные волокна обрабатывают антипиренами (в массе или поверхностно, в кол-ве до 10% от массы волокна). Полиэфирное волокно сравнительно атмосферо- и светостойко: после пребывания на солнце в течение 600 ч теряет прочность на 60% (полиамидные волокна в этих условиях разрушаются). Электрич. св-ва: e 2,8-3,2 (25°С; 50·106 Гц), rs 1014 Ом.
Полиэфирное волокно раств. в крезоле и др. фенолах; частично разрушается, растворяясь в конц. H2SO4 (выше 83%-ной) и HNO3, полностью разрушается при кипячении в конц. р-рах щелочей, обработке водяным паром при 220 °С в течение 1 ч. Обработка паром при 100°С, ввиду частичного гидролиза ПЭТ, сопровождается уменьшением прочности. Устойчиво в ацетоне, СС14, дихлорэтане и др. р-рителях, используемых в хим. чистке, к действию окислителей и восстановителей, микроорганизмов, моли, коврового жучка.
Осн. недостатки полиэфирных волокон-трудность крашения, гидрофоб-ность, электризуемость, склонность к пиллингу (образование на пов-сти изделия скрученных волоконец-"шариков"), жесткость изделий, плохая драпируемость.
Применение. Техн. нить используют для изготовления транспортерных лент, приводных ремней, канатов, парусов, рыболовных сетей и тралов, бензо- и нефтестойких шлангов, электроизоляц. и фильтровальных материалов и др. Из мононити вырабатывают сетки для бумагоделат. машин, щетки для хлопкоуборочных комбайнов и зерноочистит. машин, застежки "молния", струны ракеток, фильтры и т. д. Техн. нить низкой линейной плотн. (40 - 50 дтекс) применяют для обмотки электропроводов малого сечения и в медицине (синтетич. кровеносные сосуды и хирургич. нити).
Из гладких текстильных нитей вырабатывают трикотаж, ткани типа тафты, жоржета, крепа, пике, твида, атласа, фасонные ткани (трико-кружево), гардинно-тюлевые изделия, плащевые и зонтичные ткани, из текстурированных -плательные и костюмные ткани, трикотажные изделия, мужские и дамские сорочки, детскую одежду, чулки, носки и мн. др.
Резаные волокна применяют в осн. в смеси с шерстью, хлопком или льном (33-67%). Присутствие полиэфирных волокон повышает износостойкость и прочность, понижает сминаемость и усадочность ткани, позволяет сохранить красивый внеш. вид и устойчивость формы готовых изделий при эксплуатации. Из полиэфирного резаного волокна в чистом виде или в смеси с др. природными и хим. волокнами выпускают костюмные, пальтовые, сорочечные, плательные ткани, техн. сукна, нетканые материалы.
Сополиэфирные волокна (дилана, велана, тесил, викрон, грилен и др.). Недостатки полиэтилентерефталатного волокна во многом устраняются хим. модификацией ПЭТ, напр. алифатич. и ароматич. дикарбоновыми к-тами или их эфирами, гидроксикислотами, диолами, содержащими также др. функц. группы, полигликолями, соед., содержащими сульфо- или карбоксильную группу, фосфор, галоген. Мо-дифицир. добавки вводят на стадии синтеза ПЭТ.
Сополиэфирные волокна получают по тем же технол. схемам, что и полиэтилентерефталатные, к-рым они близки также по св-вам и областям применения, хотя имеют и ряд особенностей. Напр., волокно, модифицированное добавкой 6-10% (по массе) смеси диметилизофталата и диметил-ортофталата, отличается повыш. усадкой (25-70%), что делает его ценным для получения высокообъемной пряжи в смеси с др. малоусадочными волокнами, а также для получения нетканых материалов и основы искусств. кожи.
Производятся также легко окрашиваемые, неэлектризующиеся, мало пиллингующиеся и др. виды сополиэфир-ных волокон и нитей.
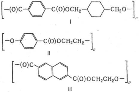
Прочие полиэфирные волокна. Волокно из продукта поликонденсации терефталевой к-ты или ее диметилового эфира и 1,4-бмс-(гидроксиметил)циклогексана (кодель, вес-тан; ф-ла I) плавится при более высокой т-ре (ок. 295 °С), обладает меньшими пиллингом (распушиванием) и плотн. (1,220 г/см3), лучшей накрашиваемостью, более высокой теплостойкостью, чем волокно из ПЭТ.

Волокно из полибутилентерефталата (ПБТ) имеет меньшую плотн. (1,320 г/см3), чем из ПЭТ, хорошо окрашивается дисперсными красителями, отличается высокой хим. стойкостью.
Текстильные нити из полиэтиленоксибензоата (А-Телл; ф-ла И), получаемого поликонденсацией этилового эфира n-гидроксибензойной к-ты, стойки к УФ облучению. По сравнению с волокном из ПЭТ они более устойчивы в воде, к-тах и щелочах, обладают высокой усадкой в кипящей воде (до 30%), лучшей накрашиваемостью, однако размягчаются и плавятся (соотв. при 185 и 223 °С) при более низких т-рах; модуль деформации растяжения 4-8 ГПа.
Волокна из полиэтиленнафталата - продукта поликонденсации 2,6-нафталиндикарбоновой к-ты и алифатич. гликолей с числом групп СН2 от 2 до 6 (ПЭН; ф-ла III) - отличаются высокими прочностью (80 сН/текс), модулем деформации растяжения (30 ГПа) и термостойкостью. Они сохраняют до 100% прочности при нагр. в течение 96 ч при 200 °С, устойчивы в горячей воде в течение 10 сут, их усадка в кипящей воде менее 2%.
Полиэфирные волокна получают также из полигликолида и полилактида (используют как рассасывающийся шовный материал в хирургии), поликарбонатов (мол. м. 30000-50000), перспективны волокна из жидкокристаллич. полиэфиров.
Мировое произ-во полиэфирных волокон (преим. на основе ПЭТ) в 1987 составило 8,4 млн. т, в т.ч. 57% волокон и 43% нитей. В СССР произ-во полиэфирных волокон 1990 достигло 270 тыс. т. Выпуск волокон из модифицир. ПЭТ, преим. окрашивающихся катионными красителями, составляет ок. 15% от мирового произ-ва, трудногорючих - более 10%.
Первое пром. произ-во полиэтилентерефталатного волокна организовано в США в 1953, первое сополиэфирное волокно (дакрон Т-64) получено в США в 1962.
Лит.: Петухов Б. В., Полиэфирные волокна, М., 1976; Полиэфирные волокна из химически модифицированного полиэтилентерефталата, М., 1977 (Обзорная информация НИИТЭхим. Сер. Промышленность химических волокон); Айзенштейн Э. М., в кн.: Технология производства химических волокон, 3 изд., М., 1980, с. 326-414; Грибанов С. А., Айзенштейн Э. М., "Хим. волокна", 1981, № 3, с. 18-23.
Э. М. Айзенштейн.