Нистатин
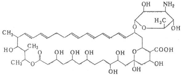
НИСТАТИН (фунгицидин, антикандин, фунгистатин, мико-статин, нистафунгин), полиеновый макролидный антибиотик. Препараты нистатина представляют собой смесь трех компонентов, близких по своим физ.-хим. и биол. св-вам. Полностью установлена структура только нистатина А (см. ф-лу), мол. м. 926,06,-наиб. активного и стабильного компонента.

Нистатин-бесцв. кристаллы, хорошо раств. в ДМФА, ДМСО, пропиленгликоле, пиридине, ледянoй СН3СООН, хуже-в метаноле, этаноле, бутаноле и диоксане, практически не раств. в воде, диэтиловом эфире, СНСl3, гексане. При 160°С разлагается частично, при 250 °С- полностью. Чувствителен к действию света, влаги, окислителей (в т.ч. О2 воздуха), разрушается в кислой и щелочной средах.
Продуцент нистатина -Streptomyces nouresii, Биосинтез осуществляют в управляемых условиях культивирования при дробном введении углеводов. Это позволяет интенсифицировать процесс и способствует преимуществ. синтезу нистатина А. Нистатин накапливается в мицелии, откуда его извлекают экстракцией низшими жирными спиртами, ацетоном или ДМСО. Из экстрактов нистатин выделяют фракционным осаждением или концентрированием в вакууме, затем препарат промывают водой и хлороформом и сушат в вакууме.
Нистатин действует против патогенных грибов, особенно грибов рода Candida. В отношении бактерий неактивен. Механизм противогрибкового действия нистатина объясняется избират. гидрофобным связыванием со стеринами мембран грибковых клеток. Это сопровождается нарушением мембранной проницаемости, потерей клеткой низкомол. в-в (в частности, коферментов) и белков, что приводит к нарушению процессов синтеза в клетке и ее гибели. Избирательность действия полиеновых антибиотиков связывают с тем, что клеточные мембраны грибов, в отличие от клеточных мембран млекопитающих, содержат преим. эргостерин, а не холестерин.
Применяют нистатин для профилактики и лечения кандидозов кожи, слизистых оболочек, желудочно-кишечного тракта.
Лит.: Рудзит Э. А., "Химико-фармацевтический журнал", 1978, № 7, с. 39-53; Майданов В.В., Егуткин Н. Л., Никитин Ю.Е., "Антибиотики", 1983, № 7, с. 502 504. О, В. Буланова.