Нафтиридины
НАФТИРИДИНЫ (пиридопиридины), мол. м. 130,15. Известно шесть возможных изомеров: 1,5-нафтиридин (ф-ла I), т. пл. 75°С; 1,6-нафтиридин (II), т. пл. 35-36°С; 1,7-нафтиридин (III), т. пл. 64°С; 1,8-нафтиридин (IV), т. пл. 98-99°С; 2,6-нафтиридин (V), т. пл. 118-119°С, 2,7-нафтиридин (VI), т. пл. 92-94 °С. Молекулы нафтиридинов плоские.

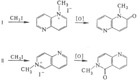
Нафтиридины-более слабые основания, чем хинолин и изохинолин; для 1,5-нафтиридина рКа 2,91, для 1,6-нафтиридина рКа 3,78. Алкилирование нафтиридинов идет по одному или обоим атомам N, причем в случае 1,6- и 1,7-нафтиридинов атака прежде всего направляется на т. наз. изохиноли-новые атомы N с образованием продуктов моноалкилиро-вания-ионов 6- и 7-алкилнафтиридиния соотв. Продукты моноалкилирования нафтиридинов легко окисляются под действием K3Fe(CN)6 в щелочной среде до N-алкил-a-нафтиридинонов, напр.:

Восстановление нафтиридинов действием Na в спирте приводит к транс-декагидронафтиридинам, каталитич. гидрирование в присут. РtO2 или Pd-к тетрагидронафтиридинам (идет восстановление одного из пиридиновых циклов). Действие LiAlH4 на N-алкил-a-нафтиридиноны дает тетрагидронаф-тиридины:

Нафтиридины-электронодефицитные гетероароматич. системы. Они с трудом вступают в р-ции электроф. замещения. Так, для незамещенных нафтиридинов известно лишь бромирование, к-рое осуществляется при нагр. с Вr2 в олеуме или действии Вr2 в ССl4 в присут. пиридина и идет в р-положение к гетеро-атому. При избытке Вr2 м.б. получены дизамещенные нафтиридины; напр., из 1,7-нафтиридина-3,5-дибром-1,7-нафтиридин. Бромирование нафтиридинов при высокой т-ре в газовой фазе, идущее по радикальному механизму, направляется в a-положение к гетероато-му; напр., бромирование 1,5-нафтиридина при 500 °С приводит гл. обр. к 2,6-дибром-1,5-нафтиридину. Нитрование идет лишь для нафтиридинов, содержащих электронодонорные заместители, напр. для нафтиридинонов. Нафтиридины легко реагируют с нуклеофилами, напр. подвергаются аминированию по Чичибабина реакции (ур-ние 1), метилированию метилсульфинилметильным анионом, получаемым действием сильных оснований на ДМСО (2), по a- и g-положениям к атомам N. Галогенза-мещенные нафтиридины обменивают атом галогена на разл. нук-леофилы (3).

Гидроксинафтиридины, существующие в таутомерией форме нафтиридинонов, при действии РОСl3 превращ. в хлорпроизводные, напр.:

Нафтиридины обычно получают методами, аналогичными методам синтеза хинолинов. Незамещенные нафтиридины могут быть получены из аминопиридинов по Скраупа реакции, замещенные - конденсацией аминопиридинов с этоксиметиленмалоновым эфиром, напр.:

Нафтиридины-структурные фрагменты нек-рых алкалоидов. Ряд производных нафтиридинов обладает физиол. активностью; в частности, известны модифицир. пенициллины (апальцилин) и цефалоспорины, содержащие остатки 1,5-нафтиридина; 7-метил-1-этил-4-оксо-1,8-нафтиридин-3-карбоновая к-та (налидиксовая к-та, или невиграмон) - антибактериальный препарат.
Лит.: Чуба В., "Химия гетероциклических соединений", 1979, №1, с. 3-16; Норовян А. С., Пароникян Е. Г., Вартанян С. А., "Хим.-фарма-цевтич. ж.", 1985, № 7, с. 790-800; Paudler W. W., Kress T.J., в сб.: Advances in Heterocyclic Chemistry, v. 11, N.Y., 1970, p. 127-75; Van der Plas H.C, WozniakM., Van den Haak H.J., там же, v. 33, N.Y., 1983, p. 95-146; Paudler W. W., Sheets R.M., там же, v. 33, N.Y., 1983, p. 147-84.
Л. И. Беленький.