Цефалоспорины
ЦЕФАЛОСПОРИНЫ, группа
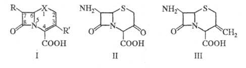
лактамных антибиотиков, со структурой ф-лы I, в к-рых четырехчленное
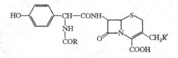
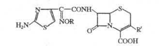
лактамное кольцо сконденсировано с шестичленным, содержащим в положении один атом серы (собственно цефалоспорины), кислорода (оксацефалоспорины), азота (азацефалоспорины) или углерода (карбоцефалоспорины). В медицине применяют полусинтетич. цефалоспориновые антибиотики (ПЦА; в ф-ле IX = S), к-рые получают ацилированием по аминогруппе соответствующих к-т: 7-аминоцефалоспорановой (7-АЦК; ф-ла I, R = NH2, R' = СН2ОСОСН3), 7-аминодезацетоксицефалоспорановой (7-АДЦК; ф-ла I, R = NH2, R' = СН3), 7-аминооксоцефамовой (ф-ла II), 7-аминометиленцефамовой (ф-ла III). Антимикробной активностью обладают производные
изомера цефалоспорановых к-т,
изомеры неактивны. Наиб. применение нашли антибиотики на основе 7-АЦК и 7-АДЦК, к-рые получают из прир. источников - соотв. хим. дезацилированием цефалоспоринов С [ф-ла I; R = NHCO(CH2)3CH(COOH)NH2, R' = СН2ОСОСН3] и р-циями трансформации (неск. хим. и одна ферментативная) бензилпенициллина. При синтезе антибиотиков на основе 7-АЦК стадии ацилирования может предшествовать введение заместителей в положение 3.
Табл. 1.- ВАЖНЕЙШИЕ ЦЕФАЛОСПОРИНЫ 1-го И 2-го ПОКОЛЕНИЙ
| Антибиотик | R | R' | |
| ПЦА 1-го поколения | |||
| Цефалотин | ![]() | -CH2OCOCH3 | |
| Цофалоридин (цепорин) | То же | ![]() | |
![]() | ![]() | ||
| Цефалексин (цепорекс) | ![]() | -OH3 | |
| То же | -Cl | ||
| Цефадроксил | ![]() | -CH3 | |
| Цефатризин | То же | ![]() | |
| ПЦА 2-го поколения | |||
| Цефамандол | ![]() | ![]() | |
![]() | -CH2OCONH2 | ||
По сравнению с пенициллином ПЦА обладают более широким спектром антимикробного действия, большей устойчивостью к действию
лактамаз (ферменты бактериального происхождения, размыкающие
лактамный цикл), меньшей аллергенностъю. В зависимости от антибактериальных св-в их можно разделить на неск. групп: ПЦА 1-го, 2-го и 3-го поколений. ПЦА 1-го поколения (табл. 1) обладают широким спектром антимикробного действия, однако мало эффективны в отношении мн. грамотрицательных бактерий и, что особенно важно, неактивны по отношению к синегнойной палочке.
ПЦА 2-го поколения (табл. 1) отличаются большей устойчивостью к действию
лактамаз, высокоэффективны в отношении мн. грамотрицательных микроорганизмов. Осн. их недостаток - неэффективность в отношении синегнойной палочки. Наиб. применение в медицине нашли цефамандол и цефуроксим. Среди ПЦА 2-го поколения можно выделить соед., имеющие в положении 7 метоксигруппу (табл. 2). Эти ПЦА активны в отношении микроорганизмов, способных вырабатывать
лактамазы. Их получают в пром-сти микробиол. синтезом или хим. метоксилированием соответствующих предшественников.
Табл. 2.- ЦЕФАЛОСПОРИНЫ 2-го ПОКОЛЕНИЯ - ПРОИЗВОДНЫЕ 7-МЕТОКСИ-АЦК
| Антибиотик | R | R' |
![]() | -CH2OCONН2 | |
| -СН2SCH2C = N | ![]() | |
| Цефбуперазон | ![]() | То же |
Табл. 3.- ВАЖНЕЙШИЕ ЦЕФАЛОСПОРИНЫ 3-го ПОКОЛЕНИЯ
| Антибиотик | R | R' |
| -СН3 | -CH2OCOCH3 | |
| Цефменоксим | То же | ![]() |
| Цефгриаксон | " | ![]() |
![]() | ![]() | |
| Цефиксим | -CH2COOH | -СН=СН2 |
Табл. 4.- N-АЦИЛИРОВАННЫЕ АРНЛГЛИЦИЛЦЕФАЛОСПОРИНЫ 3-го ПОКОЛЕНИЯ
| Антибиотик | R | R' |
![]() | ![]() | |
| Цефпирамид | ![]() | ![]() |
ПЦА 3-го поколения высокоактивны в отношении большинства грамотрицательных микроорганизмов, включая синегнойную палочку, высокоустойчивы к действию
лактамаз. Одна подгруппа ПЦА 3-го поколения имеет в положении 7 аминотиазольный фрагмент (табл. 3); активны Z-изомеры, Е-изомеры практически не обладают антимикробной активностью. Цефтазидим превосходит цефотаксим до активности в отношении синегнойной палочки.
К др. подгруппе ПЦА 3-го поколения относятся N-ацилированные арилглицильные производные 7-АЦК (табл. 4). Осн. преимущество этих цефалоспоринов - резкое увеличение активности в отношении синегнойной палочки. Осн. представитель - цефоперазон.
ПЦА применяют в виде инъекций (обычно используют натриевые соли) или перорально (таблетки, капсулы, сиропы).
Лит.: Topics in antibiotic chemistry, ed. by P. Sammes, v. 4, N. Y., 1980; "Angew. Chem. Int. Ed. Engl.", 1985, № 24, p. 180-202.
Е.Я. Зинченко.




















