Азаиндолы

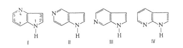
АЗАИНДОЛЫ (пирролопиридины, диазаинданы). Различают 4-, 5-, 6- и 7-азаиндолы (ф-лы соотв. I-IV). Для них т-ры плавления равны 127-128, 112-113, 136-137 и 106-107°С, pКa-6,94, 8,26, 7,95 и 4,59.
1007-5.jpg

Азаиндолы - кристаллы; раств. в орг. р-рителях, умеренно-в воде. Устойчивы в кислых и щелочных средах, флуоресцируют. Электроф. замещение идет в положение 3 (реакц. способность изомеров уменьшается в ряду 5-азаиндол > 7-азаиндол > 4-азаиндол > 6-азаиндол ), нуклеоф. замещение-в орто- и пара-положения к атому N в 6-членном цикле, алкилирование и ацилирова-ние-в положение 1.

Получают азаиндолы из изомерных аминопиридинов аналогично синтезу индолов по Фишеру:
1007-6.jpg

Для синтеза 5- и 7-азаиндолов используют также циклизацию соотв. 4- и 2-галоген1007-7.jpgхлорэтил)пиридинов с NH3 и аминами, напр.:
1007-8.jpg

4- И 6-азаиндолы получают конденсацией о-нитропиколинов с ацеталем диметилформамида:
1007-9.jpg

Некоторые производные азаиндолов обладают психотропной активностью (напр., З-пиперазиноалкил-7-азаиндол) и гипотензивным действием (напр., оксим З-ацетил-7-азаиндол).

Литература

Яхонтов Л.Н., Прокопов А. А., "Успехи химии", 1980, т. 49, в. 5, с. 814-47; Яхонтов Л.Н., "Химия гетероциклических соединений", 1982, № 9, с. 1155-67. А. В. Довгилевич.

Комментарии*

Дополнения к описанию азаиндолов:

  • Более точное определение: Азаиндолы представляют собой гетероциклические соединения, в которых один из атомов углерода в бензольном кольце индола замещен на атом азота. Это структурные аналоги индола и изостеры пурина.

  • Ключевые свойства и механизмы:

    • Обладают ароматичностью.
    • Способны к образованию водородных связей благодаря наличию атомов азота в пиррольном и пиридиновом кольцах.
    • Являются важными фармакофорами в лекарственных средствах.
  • Практическое применение и значимость:

    • Широко используются в фармацевтической химии как каркасы для создания лекарственных препаратов.
    • Применяются в материаловедении, например, в качестве флуоресцентных зондов и люминофоров в органических светодиодах (OLED).
    • Служат лигандами в координационной химии.
  • Интересные факты:

    • 7-Азаиндол (1H-пирроло[2,3-b]пиридин) является важным фрагментом природного алкалоида туникамицина.
    • Некоторые производные азаиндолов ингибируют ферменты киназы и используются в противоопухолевой терапии.
*Подобраны с помощью LLM, верифицированы, но возможны неточности.
Синонимы/примеры:* 7-Азаиндол; 1H-Пирроло[2,3-b]пиридин
*подобраны ИИ, возможны неточности