Индамины
ИНДАМИНЫ, группа хинониминовых красителей-4'-аминопроизводных N-фенилхинондиимина общей ф-лы I или II (четвертичные соли), где R, R', R: и R': - Н, одинаковые или разные Alk или Аr, X - Сl-, Вr-, СlO4, CH3SO4- или др. анион минер. к-ты.
Индамины - кристаллы от синего до сине-зеленого цвета. Соед. I раств. в орг. р-рителях, минер. к-тах, не раств. в воде; соед. II раств. в воде, не раств. в неполярных орг. р-рителях. Окраска последних глубже, чем первых, но окраски солей соед. I с минер. к-тами и соед. II близки. Цвет водных р-ров индаминов зависит от рН среды; напр., простейший индамин зеленый Биндшедлера (в ф-ле II R, R', R:, R': = СН3) в слабокислой среде (рН 5-6) окрашен в зеленый цвет, при рН 1 в зеленый цвет с синеватым оттенком, в конц. НСl или H2SO4 в желто-оранжевый, что связано с присоединением протона при рН 1 к центр. атому N, а в более кислой среде к группе N(CH3)2. В щелочных р-рах индамины легко гидролизуются с образованием индофенолов, при кислотном гидролизе образуют n-бензохинон и соответствующее N,N-дизамещенное n-фенилендиамина. Восстанавливаются, напр. SnCl2 в р-ре НСl в бесцв. замещенные 4,4'-диаминодифениламина, вновь переходящие в индамины при действии окислителей (Ag2O, RbO). На этом св-ве основано применение И как окислит.-восстановит. индикаторов Получают индамины совместным окислением N,N-диалкил-n-фенилендиамина и ароматич. диалкиламина действием К2Сr2О7 в кислой среде при 15-20 °С (окислит способ) или взаимод. n-нитрозодиалкиланилина с ароматич. диалкиламином (нитрозный способ), напр.:
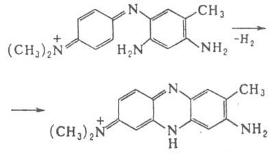
Если в образующемся индамины в орто-положении к центр. атому N содержатся такие группы, как NH2, SH, ОН, при синтезе легко происходит внутримол. циклизация, приводящая к образованию диазиновых, оксазиновых и др. циклов. Напр., толуиленовый голубой в присут. FеСl2 и n-нитрозодиметиланилина (окислитель) при 90-95 °С превращ. в толуиленовый красный:
Индамины- промежут. продукты в синтезе азиновьгх, оксазиновых, тиазиновых красителей. При крашении меха хинониминовыми красителями образование окрасок происходит через стадию получения индаминов. Из-за низкой устойчивости окрасок индамины утратили значение как текстильные красители.
Литература
Степанов Б. И., Введение в химию и технологию органических красителей, 3 изд., М., 1984. С. И. Попов.
Ещё по теме
Амидины — строение, свойства и применение
Хинониминовые красители — особенности и применение
Индигоидные красители — свойства и применение
Хинонимины — свойства и применение
Нитрамины — свойства и применение
Инден-кумароновые смолы — свойства и токсичность
Амиды кислот — свойства и применение