Альдегидаммиаки

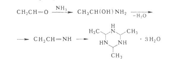
АЛЬДЕГИДАММИАКИ1020-8.jpgаминоспирты,1020-9.jpgгидрокси-амины), соединения общей ф-лы RCH(OH)NH2. Могут быть получены взаимод. альдегидов с NH3 при низких т-рах: RCH=O + NH3 -> RCH(OH)NH2. Легко отщепляют воду и превращаются в альдимины RCH=NH. Напр., при пропускании сухого NH3 в эфирный р-р ацетальдегида выпадают белые кристаллы ацетальдегидам-миака, к-рый быстро дегидратируется и превращается

в этилиденимин, тримеризующийся в тригидрат 2,4,6-триметилгексагидро-1,3,5-триазина (т. пл. 85 °С, т. кип. 123-124°С с разл.):
1020-10.jpg

Аналогично взаимод. масляные альдегиды с избытком NH3 в ацетонитриле, за исключением того, что образовавшийся бутилиденимин присоединяет вторую молекулу NH3 и превращается в лабильный 1,1-диаминобутан CH3(CH2)2CH(NH2)2. Получены и устойчивые альдегидаммиаки, напр. трихлорацетальдегидаммиак С13ССН (OH)NH2.

Формальдегид реагирует с NH3, образуя гексаметилентеграмин, или уротропин (через метаноламин, диметанол-амин и метиленаминометанол):
1020-11.jpg

Альдегидаммиаки-промежут. продукты, напр., при каталитич. восстановит. аминировании альдегидов в первичные амины, аммо-нолизе ацетальдегида и его гомологов соотв. в1020-12.jpgпиколин или алифатич. нитрилы, синтезе1020-13.jpgаминокислот из альдегидов, NH3 и HCN (р-ция Штреккера). д.з. Завельский.

Комментарии*

Дополнения:

  • Механизм образования: Реакция протекает через нуклеофильное присоединение аммиака к карбонильной группе альдегида с образованием неустойчивого промежуточного гем-аминоспирта, который легко дегидратируется
  • Стабильность: Большинство альдегидаммиаков крайне нестабильны и существуют только при низких температурах или в специальных условиях
  • Практическое значение: Являются ключевыми интермедиатами в органическом синтезе:
    • В синтезе α-аминокислот (реакция Штреккера)
    • В производстве гетероциклических соединений
    • В каталитическом аминировании карбонильных соединений
  • Структурные особенности: Способны к таутомерии между альдегидаммиачной формой RCH(OH)NH₂ и иминной формой RCH=NH
  • Трихлорацетальдегидаммиак стабилен благодаря электроноакцепторному эффекту трихлорметильной группы, снижающему нуклеофильность азота и препятствующему дегидратацию
*Подобраны с помощью LLM, верифицированы, но возможны неточности.
Синонимы/примеры:* Формальдегид аммиак; Гексаметилентетрамин; Уротропин; Гексамин
*подобраны ИИ, возможны неточности