Аллильные соединения

АЛЛИЛЬНЫЕ СОЕДИНЕНИЯ, содержат группировку R2C=CRCR2, где R-H или орг. остаток. К аллильным соединениям относятся аллильные СН2=СНСН2Х, металлильные СН2=С(СН3)СН2Х, кротильные СН3СН=СНСН2Х, пренильные (СН3)2С=СНСН2Х и др. соед., в к-рых X связан с атомом С соседним с двойной связью. Название "аллильные соединения" происходит от лат. allium- чеснок, из к-рого в 1844 был выделен диаллилсульфид.

Аллильная, металлильная, пренильная группы-фрагменты мн. природных соед.: витаминов, терпенов, терпе-ноидов (напр., гераниола, нерола, линалоола), антибиотиков. Во мн. эфирных маслах содержатся аллильные производные бензола, напр. эвгенол, сафрол.

В аллильных соединениях Н2С=СНСН2Х, где Х-функц. группа, энергия связи С—X на 50-105 кДж/моль меньше, чем в насыщ. аналогах, и это - одна из причин их повышенной хим. активности; вторая связана с тем, что отрыв X в виде иона или своб. радикала приводит к образованию структур, в к-рых предполагается равномерное распределение заряда или неспаренного электрона по обоим концам цепи, напр.:
1019-40.jpg

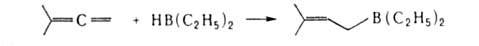
Специфич. св-во аллильных соединений-способность к аллилъной перегруппировке. Для аллильных соединений нек-рых непереходных металлов СН2=СНСН2М (М = 1/2Zn, BR2, V2Cd и др.) характерна перманентная аллильная перегруппировка (см. Аллшбораны).

Аллилвиниловые или аллилариловые эфиры, сульфиды, амины и их гомологи (напр., типа CH2=CHCH2XCH=CHR и СН2=СНСН2ХАг, где X = О, NH, S) при нагр. претерпевают Коупа перегруппировку и Клайзена перегруппировку.

Замещение в аллильных соединениях происходит с сохранением двойной связи в ее первоначальном положении или сопровождается аллильной перегруппировкой. См. Аллилъное замещение.

Аллильные производные Mg, Li, В и др. присоединяются к карбонильным соед. количественно с перегруппировкой (часто энантиоселективно), напр.:
1019-41.jpg

Аллилсиланы и аллилстаннаны (в отличие от алкильных производных) присоединяются к карбонильным соед. в присут. к-т Льюиса.

Для аллильных соединений характерны р-ции непредельных соед.-присоединение, напр.:
1019-42.jpg

замещение активированного атома Н, находящегося в1019-43.jpg положении к двойной связи:
1019-44.jpg

а также восстановление, окисление, полимеризация и др. Аллилгалогениды реагируют с карбонилами Mo, W, Мп, Fe,-Co и др. переходных металлов с образованием1019-45.jpgкомплексов (см. Аллильные комплексы переходных металлов).

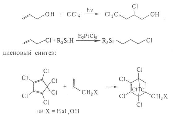
Практически важные способы синтеза аллильных соединений основаны на р-циях замещения и перегруппировках, напр.:
1019-46.jpg

Аллилгалогениды м.б. использованы как алкилирующие агенты для получения1019-47.jpgаллильных производных Mg, A1, В, Sn, Si и др., напр. триметаллилборана или металлилалюминийсесквибромида:
1019-48.jpg

Аллиллитий образуется при взаимод. фениллития и аллилтрифенилолова:
1019-49.jpg

Восстановление, окисление, дегидрирование, расщепление по Гофману и др. р-ции также часто используются для введения двойной связи или функц. группы с образованием аллильных соединений, напр.:
1019-50.jpg

Аллилгалогениды синтезируют радикальным1019-51.jpgгалогенированием алкенов и циклоалкенов бромом, N-хлор- или N-бромсукцинимидом (см. Воля-Циглера реакция). Аллил- и металлилхлориды получают хлорированием соотв. пропилена и изобутилена; аллилиодид - действием 12 и Р на глицерин; кротил- и пренилгалогениды - присоединением НХ (Х = С1, Вr) к 1,3-бутадиену и изопрену, напр.:
1019-52.jpg

Аллильные спирты можно получать гидролизом аллилгалогенидов или окислением олефинов О2 воздуха; образующиеся вначале пероксидные соед. превращаются в спирты под действием Na2SO3, NaOH или LiAlH4:
1019-53.jpg

Ацетат 2-циклогексенола синтезируют нагреванием циклогексена с уксусным ангидридом и селенистой к-той при 70°С.

Аллильные соединения часто получают из ацетиленовых или алленовых соед., используя р-ции присоединения, напр.:
1019-54.jpg

Аллильные соединения-промежут. продукты в синтезе природных соед., лек. в-в и др.

Литература

Де-Вульф Р., Янг В., в кн.: Химия алкенов, под ред. С. Патая, пер. с англ. Л., 1969, с. 409-43; Физер Л., Физер М., Органическая химия. Углубленный курс пер. с англ., т. 1-2, М., 1966: Kirk-Othmer encyclopedia, 3 ed., v. 2, N.Y.-[a.o.], 1978, p. 97-108; NechvatalA., в кн.: Advances in freq-radical chemistry, ed. by G. H. Williams, v. 4, L.-[a.o.], 1972, p. 175-201. Ю. Н. Бубнов.