2,6-Ди-трет-бутил-4-метилфенол

2,6-ДИ-трет-БУТИЛ-4-МЕТИЛФЕНОЛ, мол. м. 220,36; бесцв. кристаллы; т. пл. 70 °С, т. кип. 265 °С, 191°С/100 мм рт. ст., 146°С/12,9 мм рт. ст.; d420 1,048; насыпная масса 0,654 г/см3; h 3,22 мПа.с (80 °С); летуч, легко возгоняется; раств. в ацетоне, эта-ноле, алифатич. углеводородах, бензоле, жирах, сложных эфирах.
041_060-48.jpg
2,6-Ди-трет-бутил-4-метилфенол - типичный пространственно-затрудненный фенол (группа OH экранирована трет-бутильными группами). В отличие от незатрудненных фенолов не раств. в водных и спиртовых р-рах щелочей, имеет пониж. кислотность - рКа 12,33 (в воде), 17,18 (в метаноле). Электроф. бромирование и нитрование приводят к образованию соотв. замещенных n-бром- и n-нитроциклогексадиенонов.

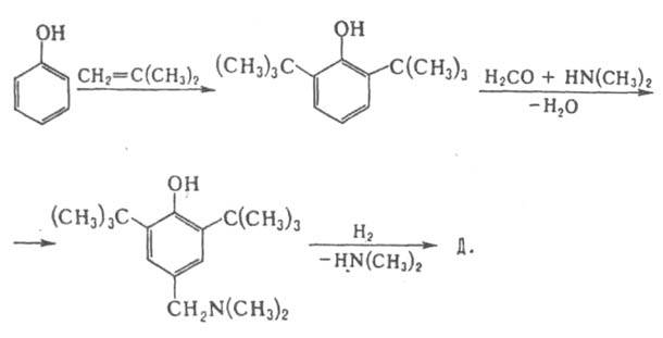
При взаимод. 2,6-ди-трет-бутил-4-метилфенола с одноэлектронными окислителями или радикалами образуется малоактивный феноксильный радикал, в результате чего ингибируется радикально-цепное окисление. Осн. способ получения 2,6-ди-трет-бутил-4-метилфенола - алкилирование n-крезола изобутиленом (кат. - конц. H2SO4, полифосфорная к-та, алкилсульфокислоты или др.) по периодич. или непрерывной схеме при атм. либо повыш. давлении. 2,6-Ди-трет-бутил-4-метилфенол выделяют ректификацией или кристаллизацией из водного р-ра метанола либо пропанола; выход 90-95%. В СССР разработан способ получения 2,6-ди-трет-бутил-4-метилфенола из более доступного сырья - фенола:
041_060-49.jpg
Фенол алкилируют изобутиленом (кат. - фенолят Аl) в отсутствие влаги при т-ре не выше 100°С и повыш. давлении. Выход 2,6-ди-тpет-бутилфенола за один проход 70% от теории. Аминометилирование проводят при 80-100°С в р-ре метанола; сырой продукт подвергают гидрогенолизу (кат. - сплав Ni + Al; Ni + Сr или Ni + Сu) при 140-160°С, после чего перекристаллизовывают из метанола или этанола. Выход 2,6-ди-трет-бутил-4-метилфенола практически количественный. 2,6-Ди-трет-бутил-4-метилфенол - неокрашивающий термостабилизатор для СК, светлых и цветных резиновых изделий, мн. пластиков, пропиленового волокна; ингибитор полимеризации при каталитич. окислении аллилового спирта в глицидный спирт и глицерин (добавки до 0,5%); антиоксидант витаминов, масел, жиров (разрешенные добавки 0,02%) и мн. орг. в-в; препарат (дибунол) для лечения рака мочевого пузыря, ожогов и трофич. язв. Выпускается 2,6-ди-трет-бутил-4-метилфенол под торговыми назв.: агидол I, агидол АО-1, алкофен Б и алкофен БП, дибунол (СССР), ионол (США), антиоксидант 4 (ЧССР), ВНТ (Великобритания, ФРГ, Франция, Япония, СФРЮ), топанол О и топанол ОС (Великобритания) и др. 2,6-Ди-трет-бутил-4-метилфенол горюч, т. воспл. 140 °С, т. самовоспл. 350 °С; пылевоздушные смеси взрывоопасны, ниж. КПВ 22 г/м3. ЛД50 450 мг/кг (мыши, внутрибрюшинно), 2000 мг/кг (крысы, перорально); ПДК 50 мг/м3.
Литература
Ершов В. В., Никифоров Г. А., Володькин А. А., Пространственно-затрудненные фенолы, М., 1972; Горбунов Б.Н., Гурвич Я. А., Маслова И.П., Химия и технология стабилизации полимерных материалов, М., 1981; Химические добавки к полимерам. Справочник, 2 изд., М., 1981. В. В. Ершов.

Синонимы/примеры:* Ионол; Агидол-1; Вулканол; Дибутилгидрокситолуол; БОТ
*подобраны ИИ, возможны неточности