Алкалоиды элаокарпуса
АЛКАЛОИДЫ ЭЛАОКАРПУСА, выделены из нек-рых видов растений рода элаокарпус (Elaeocarpus) семейства элао-карповых, или маслиноплодных. Включают более 30 представителей. В зависимости от структуры алкалоиды элаокарпуса можно разделить на неск. групп: 1) ароматич. С16-алкалоиды, содержащие в молекуле 4 или 3 цикла. Примерами могут служить соотв. элаокарпин (ф-ла I; т. пл. 81-82°С) и изоэлаокарпицин (II). Эти алкалоиды обычно выделяют в виде рацемич. смеси (стереоизомеры различаются конфигурацией атома С7). II легко переходит в I при нагр. в щелочной среде. 2) Диеноновые С16 -алкалоиды, содержащие

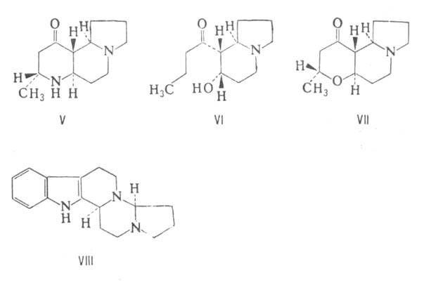
в молекуле циклы элаокарпина с частично восстановленным ароматич. кольцом, напр. изоэлаокарпилин (III) и псевдоэпиизоэлаокарпилин (IV). Многообразие этой группы объясняется разл. пространств. расположением колец В, С и D. 3) С12-Алкалоиды, содержащие скелет из 12 атомов С; подразделяются на элаоканидины (напр., элаоканидин А; V) и элаоканины, имеющие соотв. 2 и 1 атом N. Последние могут содержать два (как элаоканин С; VI) или три (как элаоканин D; VII) сопряженных цикла.
Элаокапридин (VIII)-единств. индольный алкалоид, выделенный из растений рода элаокарпус.
Нек-рые алкалоиды элаокарпуса синтезированы. Биосинтез С16-алкалоидов осуществляется, вероятно, из орнитина Н2NCH2CH2CH2CH(NH2)COOH и С12-поликетида СН3(СОСН2)5СО, а С12-алкалоидов-из орнитина и С 8-поликетида.
Литература
Johns S. R., Lamberton J. А., в кн.: Alkaloids., v. 14, N.Y., 1973, p. 325^6. r M. С. Юнусов.