Оксоуглероды
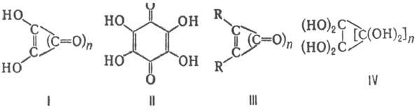
ОКСОУГЛЕРОДЫ, орг. соед., в к-рых все (или почти все) атомы углерода входят в состав карбонильных групп (или связаны с енольными гидроксильными), а также гидратир. формы этих соединений. Обычно к оксоуглеродам относят след, али-циклич. соед. (см. табл.): оксоуглеродные к-ты (ф-лы I и II), соответствующие им оксоуглеродные анионы
и
, семиоксоуглеродные к-ты (III) и пергидро-ксициклоалканы (IV).

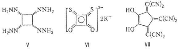
Соед. IV-полностью гидратир. формы неизвестной до сих пор группы оксоуглеродов - циклоалканполионов, олигомеров оксида углерода. Попытки их дегидратации приводят лишь к продуктам раскрытия и сужения цикла. Однако известны нек-рые производные циклоалканполионов, напр. гидра-зоны V.
Восстановление соед. IV действием SO2 приводит к соответствующим оксоуглеродным к-там. Обратные р-ции осуществляются окислением Вг2 или HNO3. Трихиноилокта-гидрат образуется также при окислении инозита (гексагид-роксициклогексана).
НЕКОТОРЫЕ ОКСОУГЛЕРОДЫ
| Название | Ф-ла | п | ||
| Дельтовая (треугольная) к-та | I | 1 | ||
| Квадратная к-та | I | 2 | ||
| Кроконовая к-та | I | 3 | ||
| Родизоновая к-та | I | 4 | ||
| Тетрагидроксибензохинон | II | - | ||
| Семиквадратная (дезоксиквадратная) к-та | III* | 2 | ||
| Октагидроксициклобутан | IV | 2 | ||
| Лейконовая к-та | IV | 3 | ||
| Трихиноилоктагидрат | IV·2H20 | 4 | ||
* R = Н,
Известны аналоги оксоуглеродов - "псевдооксоуглероды", в к-рых атомы кислорода частично или полностью замещены на атомы S, Se, группы NR, C(CN)2 и т. п., напр. соединения ф-л V-VII.

Оксоуглеродные к-ты-кристаллич. соед.; дельтовая и квадратная к-ты - бесцветны, кроконовая - желтого цвета, родизоновая - оранжево-красного, Тетрагидроксибензохинон - темно-синего. Относятся к сильным к-там, образуют устойчивые соли.
Оксоуглеродные анионы имеют плоское симметричное строение. Анион дельтовой к-ты (ф-ла VIII) представляет собой ароматич. систему. Как показывают расчеты, для анионов квадратной (скварат-анион; IX), кроконовой и родизоновой к-т энергии резонанса ничтожны, тем не менее эти анионы проявляют ароматич. св-ва, в частности повыш. устойчивость.

Оксоуглеродные к-ты образуют разл. производные (напр., ф-ла III; R = OR', Hal, NR'2). Для квадратной к-ты помимо обычных 1,2-замещенных существуют изомерные 1,3-заме-щенные производные-скварены (квадрены), напр. 1,3-ди-аминопроизводные (X).
Квадратную к-ту получают гидролизом полигалоген- или полиалкоксизамещенных циклобутена; дельтовую - гидролизом 1,2-диалкокси-3,3-дихлорциклопропенов, а также из бис-(триметилсилильного) производного квадратной к-ты в результате сужения цикла; К-соли родизоновой и кроконовой к-т-при взаимод. СО с металлич. К в присут. О2.
Нек-рые производные квадратной к-ты представляют интерес как лек. препараты и гербициды; нек-рые скварены - красители, фоточувствит. материалы, орг. проводники, стабилизаторы для пластмасс; семиквадратная к-та - микотоксин ("монилиформин").
Впервые кроконовую к-ту синтезировал Л. Гмелин в 1825, родизоновую-И. Геллер в 1837, квадратную - Дж. Парк с сотрудниками в 1959, дельтовую-Р. Вест и Д. Эджердинг в 1975.
Лит.: Oxocarbons, ed. by R. West, N. Y.,-[a, o.], 1980; Schmidt A.H., "Janssen Chimica Acta", 1986, v. 4, № 2, p. 3-28; Aihara lun-ichi, "Bull. Chem. Soc. Japan", 1987, v. 60, № 6, 5. 2268-70. E.M. Рохлин.