Индольные алкалоиды

ИНДОЛЬНЫЕ АЛКАЛОИДЫ, содержат в молекуле ядро индола или его производных - дигидроиндола (ф-ла I), оксиндола (II), псевдоиндоксила (III), N-ацилиндола (IV).
221_240-24.jpg
Наиб. богаты ими растения семейств кутровых (Аросуnасеае), мареновых (Rubiaceae), логаниевых (Loganiaceae). Различают два осн. класса индольных алкалоидов. К первому, сравнительно малочисленному, относятся алкалоиды, содержащие одинаковые индолъные ядра. Чем сложнее структура этих в-в, тем реже они встречаются в природе. Напр., гарман (V) находится в растениях 10 семейств, коенигин (VI) обнаружен только в семействе Rutaceae, педункуларин (VII) - в семействе Elaeocarpaceae, нитрарин (VIII) - только в роде Nitraria семейства Zygophyllaceae.
221_240-25.jpg
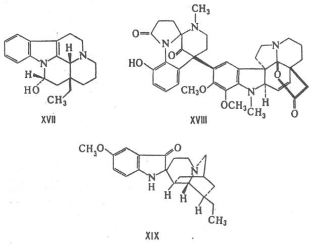
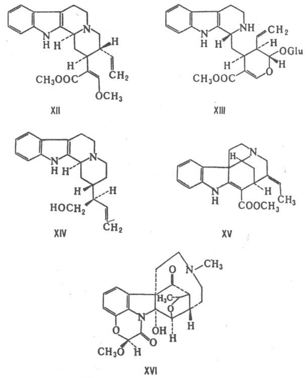
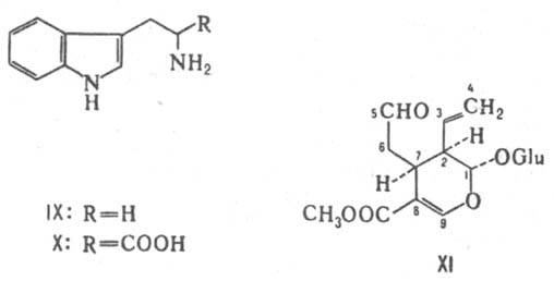
Второй класс включает ок. 1200 представителей и характеризуется содержанием двух структурных единиц: индольной - остатки триптамина (IX) или триптофана (X), и монотерпеновой, образующейся из секологанина (XI; здесь и ниже Glu - остаток глутаминовой к-ты). Алкалоиды этого класса делят на восемь главных структурных типов. Алкалоиды со скелетом XI включают типы коринантеана (напр., коринантеин, XII), винкозана (винкозид, XIII), валлезиахотамана (антирин, XIV), стрихнана (акуамицин, XV), аспидосперматана (дихотин, XVI).
221_240-26.jpg 221_240-27.jpg
Алкалоиды с перегруппированной секологаниновои частью разделяют на типы эбурнана (напр., эбурнамин, XVII), плумерана (хаплофитин, XVIII) и ибогана (иболутеин, XIX).
221_240-28.jpg
Среди индольных алкалоидов выделяют также группы: 1) ангидрониевых оснований, характеризующиеся мезомерией между биполярнобензоидной и хиноидной структурами, как, напр., в серпентинине (XX); 2) бимолекулярных индольных алкалоидов, включающих два индольных или два дигидроиндольных ядра (напр., С-дигидротоксиферин, XXI) либо два разных ядра - индольное и дигидроиндольное (катарин, XXII), псевдоиндольное и дигидроиндольное (винкатицин, XXIII). Осуществлен синтез большого числа индольных алкалоидов. Биогенетич. предшественник индольных алкалоидов - триптофан (X). Под действием фермента стриктозидин-синтетазы (мол. м. 38000) конденсируется с XI с образованием стриктозидина (XXIV), к-рый служит общим промежут. звеном в биосинтезе всех индольных алкалоидов, в т. ч. винкамина (девинкана, XXV) и бревиколлина (XXVI).
221_240-29.jpg 221_240-30.jpg
Нек-рые индольные алкалоиды широко используются в медицине в качестве транквилизаторов (напр., резерпин), стимуляторов центр. нервной системы (стрихнин), маточных (бревиколлин, XXVI),
221_240-31.jpg
антиаритмич. (аймалин)и гипотензивных (винкамин, XXV) ср-в, препаратов, снижающих внутриглазное давление (физостигмин), и др. Мн. алкалоиды этой группы - яды, напр. бруцин, С-токсиферин-1.
Литература
Kisakurek М. V., Leeuwenberg A. J. M., Hesse M., в кн., Alkaloids: chemical and biological perspectives, ed. by S. W. Pelletier, v. 1, N. Y., 1983, p. 211-377; Scott A. J. [а.о.], "Heterocycles", 1981, v. 15, № 2, p. 1257-74. А. А. Ибрагимов.