Фенетилизохинолиновые алкалоиды
ФЕНЕТИЛИЗОХИНОЛИНОВЫЕ АЛКАЛОИДЫ, выделяют в осн. из растений рода Colchicum, Androcymbium, Мегеп-dera, Bulbocodium семейства лилейных (Liliaceae). Представляют собой разнообразную по строению группу алкалоидов, объединенных общим предшественником - 1-фенетилизохи-нолином.
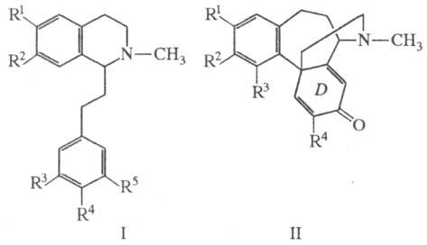
Фенетилизохинолиновые алкалоиды в зависимости от строения делят на 7 групп: первая -простые 1-фенетилизохинолины ф-лы I, напр, аутум-налин, где R1 = R3 = R4 = OCH3, R2 = R5 = ОН. При окислении из этих алкалоидов в зависимости от условий м. б. получены производные всех групп фенетилизохинолиновых алкалоидов. Все алкалоиды этого типа получены синтетически. Из синтетич. аналогов мето-фолин (I, R1 = R2 = OCH3, R4 = Cl, R3 = R5 = H) обладает выраженной анальгетич. активностью, равной активности кодеина.

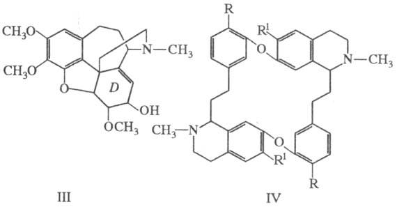
Вторая группа - гомоморфинандиеноновые алкалоиды. Они различаются наличием диеновой (напр., андроцимбин ф-лы II, где R1 = R3 = R4 = OCH3, R2 = ОН), еновой, диенольной или енольной (напр., креузигинин ф-лы Ш) системы в кольце D. Строение в-в этой группы определяют с помощью р-ций окисления и рентгеноструктурного анализа.
Соед. первых двух групп являются ключевыми промежут. соед. в биосинтезе колхициновых алкалоидов.
Третья группа фенетилизохинолиновых алкалоидов - бисфенетилизохинолины ф-лы IV (напр., мелантиофин, где R = ОН, R1 = OCH3), различающиеся кол-вом эфирных дифенильных мостиковых связей и расположением заместителей. Строение в-в доказывают расщеплением алкалоидов натрием и спектральным анализом.

Четвертая многочисленная группа - гомопроапор-финовые алкалоиды, содержащие в молекуле спиро-циклогексановое кольцо D. Различаются степенью насыщенности кольца В (напр., регеколин V) или кольца D (напр., креузигенон VI, содержит диеноновую систему) и наличием кислородсодержащих заместителей в последнем кольце. Анализируют эти алкалоиды методом масс-спектрометрии. Алкалоиды этой группы оказывают вредное действие на центральную нервную систему.

Пятая группа - гомоапорфиновые алкалоиды ф-лы VII. Различаются местоположением заместителей; пример - мультифлорамин, где R1 = R3 = R5 = OCH3, R2 = = R4 = ОН. Строение этих в-в определяют с помощью УФ и ПМР спектров.
Шестая группа - гомоэритриновые алкалоиды ф-лы VIII, напр. шельхаммеридин, где R1,R2 = OCH2O, R3 = OCH3. См. также Эритриновые алкалоиды.
Седьмая группа - колхициновые алкалоиды.
Лит.: Shamma M., Moniot J., Isoguinoline alkaloids research, 1972-1977, N. Y.- L., 1978. В. И. Виноградова.