Оксазол
ОКСАЗОЛ (1,3-оксазол), мол.м. 69,06; бесцв. жидкость; т. пл. ок. - 85 °С, т. кип. 69-70 °С;
1,4285; слабое основание, рКа 0,8; раств. в воде и мн. орг. р-рителях.

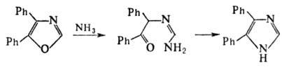
Оксазол представляет собой 6p-электронную аро-матич. систему. Оксазол и его замещенные устойчивы к щелочам, с сильными к-тами образуют по атому N непрочные соли, под действием окисли телей (КМпО4, К2Сг2О7) и горячих неорг. к-т раскрывают цикл с образованием a-ациламинокарбониль-ных соединений. Оксазол с трудом вступает в р-ции электроф. замещения; для его замещенных, содержащих электроно-донорные заместители в положении 2, р-ция идет по положениям 5 и, труднее, 4. Незамещенные по положению 2 оксазолы и 2-алкил(арил)замещенные под действием NH3 или H2S претерпевают размыкание кольца с послед. рециклизацией в имидазолы или тиазолы соотв., напр.:

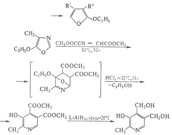
С соед., содержащими активир. кратную связь, оксазол и его замещенные вступают в диеновый синтез с образованием производных фурана или пиридина, напр.:


Последняя р-ция-пром. способ получения пиридоксина (витамина В6).
Среди производных оксазола наиб. важны гидроксипроизвод-ные, существующие преим. в кетоформе - оксазолоны, напр. наиб. изученные 5-оксазолоны (азлактоны):

Благодаря наличию активной метиленовой группы в положении 4, последние легко вступают в конденсацию с карбонильными соединениями. Синтезируют азлактоны дегидратацией N-ацил-a-аминокислот.
Оксазол получают конденсацией бромпировиноградной к-ты с формамидом с послед. декарбоксилированием образующейся оксазол-4-карбоновой к-ты; замещенные оксазолы-по след. р-циям:

Среди прир. соед., в молекулу к-рых входит цикл оксазола, известны алкалоиды, напр. N-метилгалфордийхлорид и пимпринин, выделенные из Streptomices pimprina.
Оксазол и его замещенные-сенсибилизаторы в фотографии, флуоресцентные отбеливатели, высокотемпературные анти-оксиданты (напр., 2,5-дифенилоксазол), добавки к детергентам для сохранения блеска металла (2-меркаптооксазол), арилоксазолы - жидкие сцинтилляторы. Многие оксазолы входят в состав лек. препаратов, обладающих анальгезирующим, жаропонижающим, антибиотич. действием. Оксазолоны -промежут. продукты при синтезе аминокислот, пептидов, a-оксокислот.
Лит.: Общая органическая химия, пер. с англ., т. 9, М., 1985, с. 442-59; Turchi I. J., Dewar М. J.S., "Qiem. Rev.", 1975, v. 75, № 4, p. 389-437.
Я. E. Агафонов.