Винные кислоты
Винные кислоты, диоксиянтарные, двухосновные органические кислоты

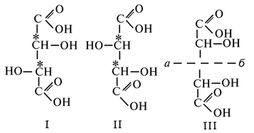
с двумя асимметричными атомами углерода в молекуле. Известны все теоретически возможные винные кислоты: D-винная (виннокаменная) кислота (I), растворы которой вращают плоскость поляризованного света вправо; её оптический антипод (см. Антиподы оптические) — L-винная кислота (II); D, L-винная (виноградная) кислота (рацемическое соединение D- и L-винных кислот, см. Изомерия) и мезовинная (антивинная) кислота (III), оптически недеятельная, что объясняется внутримолекулярной компенсацией вращения плоскости поляризации, обусловленной наличием дополнительной оси симметрии (аб).

Наибольшее значение имеет D-винная кислота (обыкновенная винная, или виннокаменная, кислота), которая в свободном состоянии или в виде солей содержится во многих плодах, особенно в винограде. При брожении виноградного сока осаждается малорастворимая кислая калиевая соль D-винной кислоты, так называемый винный камень. Получают D-винную кислоту действием минеральных кислот на её кислую калиевую соль.
D-винную кислоту и её соли (тартраты) широко применяют в пищевой промышленности (например, при приготовлении лимонадов и печенья), медицине (рвотный камень), при крашении, в органическом синтезе, аналитической химии и т.д. D-винная кислота в щелочной среде растворяет Cu (OH)2 с образованием прозрачного ярко-синего раствора — фелинговой жидкости, которая служит реактивом на восстановительную способность веществ.
В. Н. Фросин.