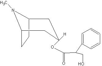
Атропин

Синонимы:
dl-гиосциаминdl-датурин
dl-троповой кислоты тропиновый эфир
Внешний вид:
бесцветн. ромбические кристаллыБрутто-формула (система Хилла): C17H23NO3
Молекулярная масса (в а.е.м.): 289,38
Температура плавления (в °C): 115,5
Температура возгонки (в °C): 118
Растворимость (в г/100 г или характеристика):
бензол: растворимвода: 0,14 (19°C)
диэтиловый эфир: растворим 1,64 (20°C)
уксусная кислота: растворим
хлороформ: растворим 50 (20°C)
этанол: растворим 25 (20°C)
Вкус, запах, гигроскопичность:
вкус: горькийПриродные и антропогенные источники:
Содержится в красавке (Atropa belladonna), белене (Hyoscyamus niger), дурмане (Datura stramonium), скопилии (Scopolia carnioliea) и других растениях семейства пасленовых (Solanaceae).Показатель диссоциации:
pKBH+ (1) = 9,68 (20 C, вода)Летальная доза (ЛД50, в мг/кг):
221,5 (мыши, перорально)Симптомы острого отравления:
Клиническая картина отравления: Расширение зрачков, парез аккомодации, повышение внутриглазного давления, сухость слизистых оболочек и кожных покровов, повышение температуры, задержка мочи, тахикардия, головная боль, головокружение, галлюцинации, маниакальное состояние, коматозное состояние. Следует учитывать, что выраженность тахикардии не является показателем тяжести отравления, так как после достижения частоты сердечных сокращений 160 уд/мин, вызываемой атропином в дозе 4 мг, дальнейшее учеличение дозы мало влияет на частоту сердцебиений. При тяжелых отравлениях быстро наступает полная потеря ориентации, резкое двигательное и психическое возбуждение, могут быть судороги с потерей сознания, развивается коматозное состояние, АД падает.
Лечение отравлений:
При поступлении яда внутрь необходимо немедленно промыть желудок через зонд (зонд смазать маслом) раствором перманганата калия (0,1%) или 1% раствором таннина и дать солевое слабительное. В качестве антидота применяют прозерин, который вводят под кожу (1 мл 0,05% раствора повторно). Для устранения психомоторного возбуждения применяют аминазин (2 мл 2,5% раствора внутримышечно). В случае появления судорог показаны барбитураты - тиопентал-натрий (5-10 мл 2,5% раствора внутривенно). При резкой гипертермии показаны пузыри со льдом на голову и паховые области.
Применение:
Лекарственное средство: спазмолитическое, холинолитическое.
Дополнительная информация:
С кислотами образует растворимые в воде соли. При действии неорганических кислот отщепляет воду и дает апоатропин.
- "Неотложная помощь при острых отравлениях: Справочник по токсикологии" под ред. Голикова С.Н. М.:Медицина, 1977 стр. 150
- "Справочник химика" т.2, Л.-М.: Химия, 1964 стр. 448-449
- "Химическая энциклопедия" т.1 М.: Советская энциклопедия, 1988 стр. 219-220
- Крамаренко В.Ф. "Токсикологическая химия" Киев: Выща школа, 1989 стр. 259