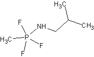
Изобутиламино-метилтрифторфосфоран

Брутто-формула (система Хилла): C5H13F3NP
Формула в виде текста: CH3PF3NHCH2CH(CH3)2
Молекулярная масса (в а.е.м.): 175,13
Летальная доза (ЛД50, в мг/кг):
0,05 (кролики, внутривенно)- "Химическая энциклопедия" т.5 М.: Советская энциклопедия, 1999 стр. 152
Источники информации:
Ещё по теме
Метилтетрафторфосфоран — характеристики и применение
Фосфотиамин — описание и характеристики химического вещества