Ангидриды моносахаридов и а нгидроса хара
При отщеплении молекулы воды от двух гидроксилов моносахарида в его молекуле образуется второй кислородный мостик. При этом вода может отщепиться как за счет полуацетального и спиртового гидроксила, так и за счет двух спиртовых гидроксилов. Производные, образующиеся в первом случае, называются ангидридами сахаров или гликозанами; образующиеся во втором случае — ангидросахарами. Ангидриды сахаров построены по типу гликозидов (являются внутренними гликозидами) и не имеют многих свойств сахаров (лишены восстанавливающих свойств и т. д.). Ангидросахара обладают свойствами сахаров.
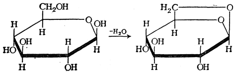
Наиболее важными представителями ангидридов сахаров являются глюкозан и левоглюкозан.
α-Глюкозан (часто называемый просто глюкозаном) имеет 1,2-оксидный мостик; впервые он был получен в 1860 г. при сухой перегонке D-глюкозы:

Глюкозан обладает правым вращением [α]D20=+69,6°. При нагревании с водой, а также под действием кислот на холоду он присоединяет воду, превращаясь в α-D-глюкозу.
Левоглюкозан, или β-глюкозан, имеет 1,6-β-оксидный мостик. Он может быть получен аналогично α-глюкозану при перегонке в вакууме β-D-глюкозы

а также ряда β-глюкозидов, олиго- и полисахаридов, в частности целлюлозы (А. Пикте). Левоглюкозан — кристаллическое вещество с т. пл. 179° С. Он обладает левым вращением, [α]D20=—66,2°, отчего и произошло его название (от слова laevus — левый). При нагревании с разбавленными кислотами он присоединяет воду, превращаясь в β-D-глюкозу, а при действии натрия в жидком аммиаке дает фенол (П. П. Шорыгин).
В настоящее время известны и другие гликозаны, имеющие 1,3- и 1,4-оксидные мостики.
Среди ангидросахаров, не относящихся к группе гликозанов, имеются соединения с самыми различными ангидридными кольцами. Наиболее многочислен ными и наиболее изученными являются ангидросахара с трехчленным (этилен оксидным) и пятичленным (тетрагидрофурановым) кольцами.

Примерами ангидросахаров с трехчленным ангидридным кольцом являются гликозиды 2,3-ангидроманнопиранозы (I), 3,4-ангидрогалактопиранозы (II) и 5,6-ангидроглюкофуранозы (III):

Примерами ангидросахаров с пятичленным ангидридным кольцом могут служить 3,6-ангидроглюкоза (IV) и 2,5-ангидроманноза. или хито-за (V):

Пятичленные кольца ангидросахаров гораздо более стойки к кислотному и щелочному гидролизу, чем трехчленные, благодаря чему, например, 3,6-и 2,5-ангидрогексозы удается получить в свободном состоянии, с ясно выраженными свойствами альдегидов (см. выше формулы IV и V). Трехчленные кольца ангидросахаров чрезвычайно легко расщепляются кислотами и щелочами. Поэтому 2,3-, 3,4- и 5,6-ангидрогексозы удается получить лишь в виде некоторых их производных (например, гликозидов, 1,2-изопропилидензамещенных и т. д.), а при попытках гидролитического отщепления соответствующих заместителей обычно расщепляется и этиленоксидное кольцо.
В последние годы ангидриды сахаров и ангидросахара нашли широкое применение в разнообразных синтезах гликозидов, дисахаридов, гуанидинопроизводных (С. Н. Данилов) и т. д., так как при разрыве кислородных мостиков легко присоединяются различные радикалы.