Нeкоторые продукты окисления моносахаридов. Уроновые кислоты
■
Продуктами окисления моносахаридов, наряду с альдоновыми и сахарными кислотами, являются уроновые кислоты — производные моносахаридов, сохранившие свою альдегидную (или кетонную) группу, но утратившие первичную спиртовую группу, окислившуюся с образованием карбоксила.
Уроновые кислоты можно получить окислением производных моносахаридов с «защищенной» альдегидной группой (например, гликозидов) с последующим освобождением этой группы
или восстановлением амальгамой натрия монолактонов сахарных кислот:
Природными источниками уроновых кислот являются некоторые высшие полисахариды, в которые уроновые кислоты входят как структурные элементы; гидролиз (обычно ферментативный) этих полисахаридов может быть использован для получения уроновых кислот.
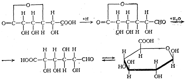
Декарбоксилирование уроновых кислот при нагревании с минеральными кислотами приводит к углеводам с меньшим числом углеродных атомов, например:
Уроновые кислоты легко образуют лактоны — соединения с двумя кислородными мостиками, например:
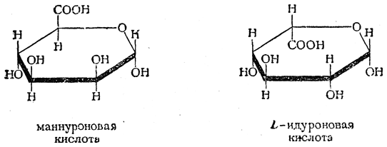
Важнейшими уроновыми кислотами являются гексуроновые кислоты (с 6 атомами углерода): глюкуроновая, галактуроновая и маннуроновая.
Глюкуроновая кислота известна лишь в β-форме, тогда как галактуроновая и маннуроновая кислоты известны как в α-, так и в β-формах.
Значение уроновых кислот весьма велико, так как они являются структурными единицами многих высших полиоз. Например, глюкуроновая кислота является структурной единицей многих мукополисахаридов, камедей, специфических полисахаридов микроорганизмов, природных гликозидов, сапонинов и т. д. Галактуроновая кислота является структурной единицей пектиновых веществ; маннуроновая кислота участвует в построении ряда полисахаридов водорослей; в некоторых мукополисахаридах содержится идуроновая кислота

Остатки уроновых кислот входят в состав молекул так называемых альдобиуроновых кислот — соединений, построенных по типу дисахаридов; в альдобиуроновых кислотах остаток альдозы обычно замещает атом водорода в полуацетальном гидроксиле уроновой кислоты.
Некоторые уроновые кислоты, в частности глюкуроновая кислота, играют важную роль в «защитных функциях» животного организма; многие ядовитые вещества, попадающие в организм либо непосредственно, либо после окисления, образуют гликозиды глюкуроновой кислоты (глюкуронозиды) или ее сложные эфиры и выделяются с мочой.