Фотосинтез
. Исключительно важный процесс аккумулирования солнечной энергии путем образования органического вещества из СО2 и Н2О, называемый фотосинтезом, в последние годы в главных своих чертах расшифрован (Хилл, Келвин и сотр.) что нужно считать одним из крупнейших достижений химии. Оказалось, что фосфат моносахарида является не только первичным «акцептором» углекислоты (веществом, присоединяющим СО2), но и круговой процесс (так называемый фотосинтетический углеродный цикл), зновь регенерирующий этот акцептор, в основном представляет собой процесс превращений фосфорнокислых эфиров моносахаридов. Разобраться в процессе фотосинтеза удалось благодаря широкому применению метода меченых атомов (тяжелый кислород О18 и радиоактивный углерод С14) и хроматографии. Эти методы позволили идентифицировать ничтожные количества веществ, образующихся в промежутки времени, измеряемые секундами. Применение воды с тяжелым кислородом показало, что при фотосинтезе, выражаемом суммарным уравнением

кислород воды выделяется в виде О2.
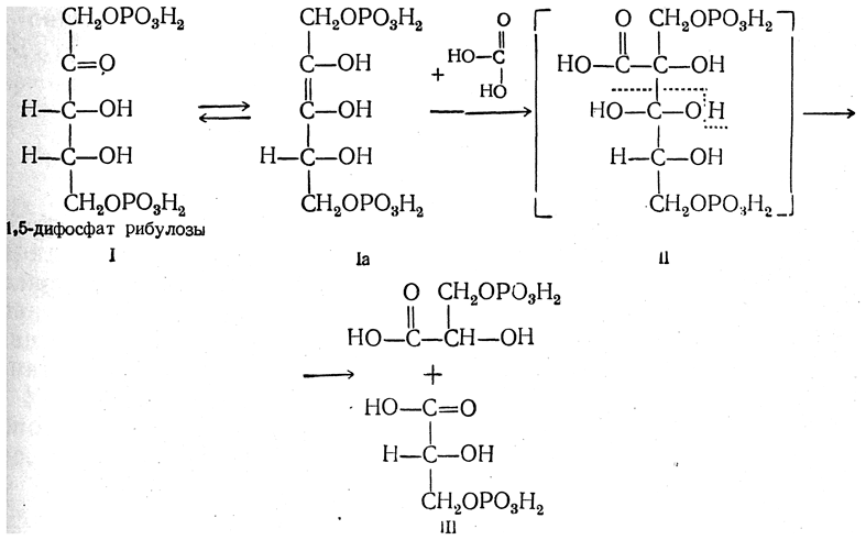
«Акцептором» углекислоты оказался 1,5-дифосфат рибулозы (I), который в енольной форме (1а) присоединяет углекислоту и через гипотетический промежуточный продукт (II) образует две молекулы 3-фосфата глицериновой кислоты (III):

3-Фосфат глицериновой кислоты восстанавливается водородом, образующимся при фотолизе воды, превращаясь в 3-фосфат глицеринового альдегида. Последний частично изомеризуется в 3-фосфат диоксиацетона.
Фосфаты глицеринового альдегида и диоксиацетона дают путем альдольной конденсации 1,6-дифосфат фруктозы:

1,6-Дифосфат фруктозы частично дефосфорилируется и изомеризуется в 1-фосфат глюкозы, из которого синтезируются сахароза и крахмал. Другая часть 1,6-дифосфата фруктозы претерпевает ряд превращений, приводящих к регенерации 1,5-дифосфата рибулозы — акцептора углекислоты.

Основные этапы процесса фотосинтеза схематически показаны на рис. 41.
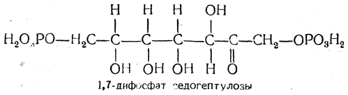
При фотосинтезе происходят как процессы расщепления, так и процессы синтеза промежуточных продуктов — производных сахара с семью углеродными атомами (1,7- и 7-фосфатов седогептулозы),
1,6-Дифосфат фруктозы при частичном гидролизе превращается в 6-фосфат фруктозы. При отщеплении от него «активного» гликолевого альдегида образуется 4-фосфат эритрозы (тетрозы). При конденсации 4 фосфата эритрозы с 3-фосфатом диоксиацетона образуются 7-фосфат и 1,7-дифосфат седогептулозы:

При отщеплении от 1,7-дифосфата седогептулозы одного фосфатного остатка и остатка гликолевого альдегида получается 5-фосфат рибозы, изомеризующийся в 5-фосфат рибулозы. Фосфорилирование последнего дает 1,5-дифосфат рибулозы.
Нельзя не упомянуть, что фосфаты сахаров входят в качестве структурных компонентов в такие коэнзимы, как, например, аденозинтрифосфорная кислота и недавно открытые уридиновые коэнзимы, играющие огромную роль во многих процессах обмена веществ животных и растительных организмов, а также участвуют в построении нуклеиновых кислот и таких белков, как нуклеопротеиды. Во всех этих соединениях фосфаты моносахаридов (обычна рибозы и дезоксирибозы) связаны по типу N-гликозидов с пуриновыми или пиримидиновыми ядрами.