β-дикетонаты металлов

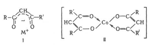
beta-ДИКЕТОНАТЫ МЕТАЛЛОВ, соед. металлов с b-дикетоном в енольной форме. b-Дикетонаты щелочных металлов - еноляты ф-лы I.
041_060-108.jpg
b-Дикетонаты металлов в степени окисления +2 и выше - хелатные соед. общей ф-лы [Mn+ Ln], напр. соед. II. Чем слабее выражены кислотные св-ва b-дикетона, тем более устойчив b-дикетонат данного металла. Ниже рассматриваются св-ва хелатных b-дикетонатов. b-Дикетонаты - кристаллич. в-ва. Связь металл - лиганд в осн. ионная. Легко летучи, раств. в орг. р-рителях. При нагр. выше ~ 250 °С разлагаются с образованием металла или его оксида. Полимеризуются в результате образования мостиковых связей с участием атомов кислорода. Полимеризация происходит в тех случаях, когда b-дикетонаты координационно ненасыщен, а радикалы R и R' недостаточно объемисты; наличие фторированных радикалов R и R' препятствует полимеризации. Деполимеризацию полимерных b-дикетонатов осуществляют введением в координац. сферу металла нейтральных лигандов Q-монодентатных (ДМСО, трибутилфосфат, трифенилфосфиноксид, ацетилацетонимин и др.) и бидентатных (фенантролин, дипиридил и др.). Образование разнолигандных мономерных b-дикетонатов типа [Mn+ Ln.xQ] используют для перевода полимерных b-дикетонатов в р-р или газовую фазу. Устойчивость разнолигандных комплексов тем выше, чем больше донорная активность лиганда Q и чем меньше прочность связи основного лиганда L с центральным атомом. В качестве Q м. б. использована вода. Аква-b-дикетонаты всегда мономерны, однако при нагревании они гидролизуются с образованием полимерных нелетучих гидроксо-b-дикетонатов [Мn+Ln_y (OH)y.xH2O]m, содержащих мостиковые группы ОН. Перспективно применение b-дикетонатов для нанесения металлич. и оксидных покрытий на разл. подложки; для разделения, очистки и анализа смесей разл. металлов (в виде их b-дикетонатов) методами экстракции, газовой и жидкостной хроматографии, фракционной сублимации, зонной плавки и кристаллизации; для легирования разл. материалов методом осаждения из газовой фазы; в качестве катализаторов полимеризации и окисления, сдвигающих реагентов в спектроскопии ЯМР. Соед. дипивалоилметана и Ce(IV) предложено использовать в качестве антидетонаторов моторного топлива. Наиб. доступные и дешевые - ацетилацетонаты металлов.

Литература
Исп. литература: Теоретическая и прикладная химия "бетта"-дикетонатов металлов, под ред. В. И. Спицына и Л. И. Мартыненко, М., 1985. Л. И. Мартыненко.

Синонимы/примеры:* Ацетилацетонаты металлов; 2,4-пентандионаты металлов
*подобраны ИИ, возможны неточности