1,2-Диоксетан

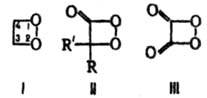
1,2-ДИОКСЕТАН, соед. ф-лы I, мол. м. 60,03. Незамещенный 1,2-диоксетан неустойчив; наиб. изучены его тетраалкилпроизводные, а также 1,2-диоксетаноны и 1,2-диоксетандион (ф-лы соотв. II и III).
061_080-32.jpg
Большинство производных 1,2-диоксетана - кристаллы, стабильные при комнатной т-ре. Раств. в хлороформе, бензоле, нитрометане. По хим. св-вам - типичные пероксиды (см. Пероксидные соединения органические). Под действием LiAlH4 тетраалкилпроизводные 1,2-диоксетана восстанавливаются в 1,2-диолы, что используют для их аналит. определения. При р-ции с PPh3 превращаются в циклич. фосфорамы, разлагающиеся при нагр. в эпоксиды, напр.:
061_080-33.jpg
Производные 1,2-диоксетана легко подвергаются разложению. Термолиз их р-ров в орг. р-рителях сопровождается хемилюминесценцией в результате дезактивации образующихся возбужденных молекул кетонов (обозначены звездочкой), находящихся в триплетом состоянии, напр.:
061_080-34.jpg
Тетраалкилпроизводные 1,2-диоксетана получают фотоокислением олефинов или циклизацией a-бромгидропероксидов, напр.:
061_080-35.jpg
Соед. II получают циклизацией a-пергидроксикислот RR'C(OOH)COOH в присут. дициклогексилкарбодиимида. Соед. II образуются также в процессе биосинтеза в светляках, некоторых морских организмах и растениях. Их распад вызывает биолюминесценцию ("холодное свечение"). Соед. Ш получают действием конц. Н2О2 на оксалилхлорид в присут. оснований (в чистом виде не выделено). 1,2-Диоксетан и его производные - промежут. продукты окисления мн. непредельных соед. биол. природы. Лит.. Антоновский В. Л., Бузланова М. М., Аналитическая химия органических пероксидных соединений, М., 1978; Васильев Р. Ф., в сб.: Химия органических пероксидов, Волгоград, 1982, с. 75-91; Adam W., "Adwances in Hetcrocyclic Chemistry", 1977, v.21, p. 437-81; Horn A. [a.o.], "Molecular Photochemistry", 1978 79, v. 9, № 1, p. 1-34. В. Л. Антоновский.

Синонимы/примеры:* 1,2-диоксоциклобутан
*подобраны ИИ, возможны неточности