3-Метиламинометилиндол

Проверили: С.А.Погосян, С.Г.Чшмаритян
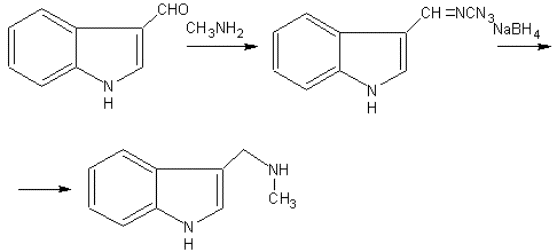
Получение
3-Метилиминометилиндол. В круглодонную колбу емкостью 250 мл помещают 10,2 г (0,07 моля) индол-3-альдегида (см. “Синтезы гетероциклических соединений”, вып. 4, с.72) и 108 мл (1,05 моля) 30%-ного водного раствора метиламина (прим. 1). Колбу закрывают пробкой и оставляют в течение 24 ч при комнатной температуре. Выпавшие кристаллы отфильтровывают, промывают водой и сушат в эксикаторе над серной кислотой. Высушенный продукт перекристаллизовывают из 50 мл абсолютного бензола. Выход 8,8-9,2 г (80,4%-83,5%), т. пл. 119-121 (с разложением) (прим. 2).
3-Метиламинометилиндол. В трехгорлую круглодонную колбу емкостью 250 мл, снабженную обратным холодильником и мешалкой, помещают 8,0 г (0,05 моля) 3-метилиминометилиндола в 150 мл абсолютного спирта, прибавляют 5,5 г (0,15 моля) боргидрида натрия и перемешивают при 20° в течение 3 ч. Смесь разбавляют водой, продукт экстрагируют двумя порциями бензола и сушат безводным сернокислым магнием. После отгонки бензола продукт получают в виде бесцветного масла (прим. 3). Выход 7,2-7,5 г или 90,0-93,7% теоретического количества (прим. 4).
3-Метиламинометилиндол, C10H12N2, мол. вес 160,21 – бесцветное масло, растворимое в большинстве органических растворителей и нерастворимое в воде.
Примечания
1.Можно использовать водный раствор метиламина любой концентрации, но избыток метиламина должен быть не менее, чем 10-кратным.
2.Метилиминометилиндол получен по методу1.
3.3-Метиламинометилиндол разлагается при перегонке в вакууме.
4.Т. пл. пикрата 3-метиламинометилиндола 176-177° (из спирта).
Другие способы получения
Приведенная выше пропись основана на работе2.
1.В.М.Родионов, Т.К.Веселовская, Труды МТХИ им. Д.И.Менделеева, 23, 1956, с.25
2.Gower B.G., Leets E., J. Am. Chem. Soc., 1953, 85, p.3683