Калиевая соль 2-карбокси-5-метил-4-фурилсульфокислоты

Предложили: О.Л.Мнджоян, В.А.Шкулев
Проверили: Н.А.Григорян, А.А.Мартиросян
Получение
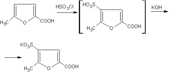
В круглодонную колбу емкостью 500 мл, снабженную мешалкой, обратным холодильником и термометром, помещают 19,8 мл (34,96 г 0,3 моля) хлорсульфоновой кислоты и 250 мл сухого хлороформа. При перемешивании к смеси прибавляют 31,5 г (0,25 моля) 5-метилфуран-2-карбоновой кислоты (см. «Синтезы гетероциклических соединений», вып. 1, с. 42) (прим. 1). Смесь нагревают до 50-55° и выдерживают при этой температуре до прекращения выделения хлористого водорода (около 3 ч). Затем при пониженном давлении отгоняют хлороформ, а оставшийся темно-коричневый осадок обрабатывают (при охлаждении водой) 20%-ным раствором едкого кали до рН 7. К полученному темно-коричневому раствору добавляют 1 г активированного угля, смесь кипятят 5-10 мин и фильтруют. Фильтрат подкисляют концентрированной соляной кислотой до рН 1 и охлаждают. Выпавший осадок отфильтровывают, перекристаллизовывают из 100 мл воды и сушат на воздухе. Выход 38,4-40,8 г, или 62,5-66,4% теоретического количества.
Калиевая соль 2-карбокси-5-метил-4-фурилсульфокислоты, C6H5O6K, мол. вес 244,27 – кристаллическое вещество белого цвета, хорошо растворимое в воде (прим. 2).
Примечания
1.Исходная кислота должна быть хорошо высушена. В противном случае смесь разогревается и конечный продукт получается темного цвета.
2.Для характеристики калиевая соль 2-карбокси-5-метил-4-фурилсульфокислоты превращена в дихлорангидрид, а затем в диамид с т. пл. 196-197°1.
Другие способы получения
Калиевая соль 2-карбокси-5-метил-4-фурилсульфокислоты получена только описанным выше способом2. Бариевая или натриевая соль 2-карбокси-5-метил-4-фурилсульфокислоты была получена при сульфировании 5-метилфуран-2-карбоновой кислоты олеумом1.
1.J.F.Soully, E.V.Brown, J. Org. Chem., 19, 894 (1954)
2.Л.С.Абовян, В.А.Шкулев, Н.О.Степанян, А.С.Агафонян, О.Л.Мнджоян, Хим.-фарм. Ж., №6, 685 (1983)