Фенилфурилкарбинол

Предложили: О.Л.Мнджоян, Э.Р.Багдасарян
Проверили: Г.Т.Татевосян, Н.М.Диванян
Получение
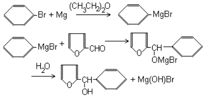
В литровую трехгорлую колбу, снабженную мешалкой с ртутным затвором, капельной воронкой и обратным холодильником с хлоркальциевой трубкой, помещают 7,2 г (0,3 г-ат) магниевых стружек, предварительно промытых безводными спиртом и эфиром, 150 мл абсолютного эфира и кристаллик иода. Затем из капельной воронки в течение 1,5 часов прибавляют раствор 60 г (0,38 моль) свежеперегнанного бромбензола в 100 мл абсолютного эфира (примечание 1). После прибавления всего бромбензола, смесь при слабом перемешивании кипятят на водяной бане в течение 4 часов до практически полного растворения магния. Затем содержимое колбы охлаждают смесью льда и соли и при непрерывном перемешивании в течение 40-50 минут прибавляют раствор 27,3 г (0,27 моль) свежеперегнанного фурфурола в 150 мл сухого эфира.
После прибавления всего количества фурфурола смесь кипятят на водяной бане в течение 2,5-3 часов, а затем охлаждают смесью льда и соли и, не прекращая перемешивания, разлагают продукт реакции постепенным прибавлением раствора 55г хлористого аммония в 200 мл воды. Отделяют верхний эфирный слой, остаток экстрагируют тремя порциями эфира по 75 мл (примечание 2), присоединяют эфирные вытяжки к основному раствору и высушивают над прокаленным сернокислым натрием. После отгонки эфира остаток фракционируют в вакууме. Фенилфурилкарбинол собирают при 137-138 градусов/2 мм (примечание 3).
Выход 31,2-32,6 г или 59,4-62,1% теоретического количества (примечание 4).
Фенилфурилкарбинол, C11H10O2, молярный вес 174,08 – светло-желтая нерастворимая в воде и растворяющаяся в органических растворителях густая жидкость с температурой кипения 125-126 градусов/0,5 мм; d204 1,1506, n20D 1,5570. При хранении, даже в запаянном сосуде, принимает темную окраску.
Примечания
1.Реакция обычно начинается после кратковременного подогревания колбы на водяной бане, после чего равномерно протекает до конца.
2.При экстрагировании водного раствора, во избежание образования трудно-разделимой эмульсии, следует избегать сильного встряхивания делительной воронки
3.Очень важно иметь остаточное давление, не превышающее 2 мм; при более высоком давлении вещество при перегонке осмоляется
4.По вышеописанной методике с удовлетворительными выходами были получены также циклогексил-, бензил- и 3-фенилэтилфурилкарбинолы.
Другие способы получения
Фенилфурилкарбинол получался только взаимодействием фенилмагнийгалогенидов с фурфуролом1. Было установлено, что выход продукта реакции повышается до 65% при применении избытка гриньяровского реактива и удалении эфира при 3-4 мм остаточного давления2. Приведенная выше пропись дает вполне удовлетворительные результаты3.
- F.N.Peters, R.Fisher, J.Am.Chem.Soc. 52,2079 (1930); A.P.Hewlett, IowaStateColl. J.Sci. 6,439 (1932); C.A. 27,9804 (1933); M.Protiva, M.Borovicka, Chem. Listy 43,56 (1949); C.A. 45,5761 (1951); J.H.Biel, J.Am.Chem.Soc. 71,1306 (1949)
- R.Paul, C.r 202,1444 (1936)
- А.Л.Мнджоян, О.Л.Мнджоян, Э.Р.Багдасарян, ДАН Арм. ССР 23,175 (1956)