Гексокиназа

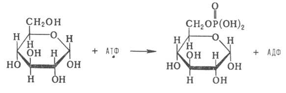
ГЕКСОКИНАЗА, фермент класса трансфераз, катализирующий в присут. Mg2+ перенос фосфорильной группы с аденозинтрифосфата (АТФ) на D-гексозу с образованием D-гексозо-6-фосфата и аденозиндифосфата (АДФ), напр.:
110-64.jpg

Гексокиназа строго специфична по отношению к АТФ и обладает широкой специфичностью к углеводному компоненту.

Выделенная из дрожжей и тканей млекопитающих гексокиназа существует в виде неск. форм (изоферментов), для каждой из к-рых известен аминокислотный состав. Гексокиназа дрожжей выделена в кристаллич. состоянии, имеет мол. м. ~ 96 тыс. и состоит из 4 субъединиц. Для нее известна пространств. структура. Гексокиназа млекопитающих состоит из 1 субъединицы; мол. масса каждого из трех распространенных изоферментов ок. 96 тыс., специфической глюкокиназы печени-48 тыс.

Оптим. каталитич. активность гексокиназы проявляется при рН 7,7-8,2. Изоэлектрич. точка рI 5,7-6,3. В активный центр входят остатки серина и гистидина. Важную роль в механизме каталитич. действия играют группы SH полипептид-ной цепи. В организме гексокиназа активируется витаминами, инсулином, а также при связывании с нек-рыми биол. мембранами, напр. митохондриальными; ингибируется глюкозо-6-фосфатом и кортикостероидами.

Гексокиназа участвует в превращ. глюкозы при брожении, гликоли-зе, оказывает существенное влияние на пентозофосфатный цикл и биосинтез гликогена. Ее используют для исследования активности ряда ферментов, напр. креатинкиназы при диагностике инфаркта миокарда. Данные по активности гексокиназы в сыворотке крови служат дополнит. диагностич. тестом при онкологич. заболеваниях.

Литература

МецлерД. Э., Биохимия, пер. с англ., т. 2, М, 1980, с. 125-28. Н.Ю. Гончарова.