Брауна правило селективности

БРАУНА ПРАВИЛО СЕЛЕКТИВНОСТИ: в р-циях электроф. замещения в ароматич. ряду селективность тем выше, чем меньше кислотность реагента по Льюису.

Скорость взаимод. в-ва, обладающего большим электронным дефицитом на реакц. центре (сильная к-та), а следовательно, и высокой реакц. способностью, сравнительно мало зависит от смещения электронов в бензольном кольце, вызываемом заместителем. С уменьшением кислотности реагента его реакц. способность падает, возрастает зависимость скорости р-ции от смещения электронной плотности в бензольном кольце и, следовательно, от природы заместителя. В связи с этим катион Вr+, генерируемый НВrО в присут. НСlO4 (сильная к-та), слабо "различает" активный толуол и менее активный бензол и бромирует толуол в пара-положение только в 36 раз быстрее. В то же время Вr2 (слабая к-та) в присут. 85% СН3СООН реагирует с толуолом в 600 раз быстрее. В этом случае говорят о межмолекулярной селективности замещения (fn), к-рую количественно оценивают как отношение скоростей р-ций замещения в пара-положение замещенного бензола и в бензоле при действии одного и того же реагента.

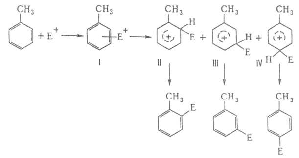
Когда электрофил - сильная к-та, возможность образования разл. замещенных бензола (внутримолекулярная селективность) в определенной степени уравнивается. Это, в частности, объясняется тем, что стадией, определяющей в данном случае скорость р-ции, м. б. образование1061-21.jpg комплекса I:
1061-22.jpg

где Е+-электрофил. Если последний представляет собой слабую к-ту, лимитирующая стадия-образование1061-23.jpgкомплексов II-IV. В этом случае возможна перегруппировка первоначально неселективно образующихся1061-24.jpgкомплексов в более устойчивые, что обусловливает большую внутримолекулярную селективность.

Так, при алкилировании толуола с помощью С3Н7Вг в присут. GaBr3 (сильная к-та) образуется 46,8% пара- и 25,7% мета-замещенных, а при бромировании с помощью Вr2 в CF3COOH (слабая к-та)-соотв. 84,2% и 0%. Внутримолекулярная селективность количественно оценивается величиной fn/fm, где fm-отношение скоростей р-ций замещения в .мета-положение замещенного бензола и в бензоле при действии одного и того же реагента. График зависимости lg fn от lg(fn/fm) представляет собой прямую линию и описывается ур-нием:

1061-25.jpg

Влияние заместителей в бензольном кольце на селективность при электроф. ароматич. замещении описывается модифицир. ур-нием Гаммета:1061-26.jpg . Каждому заместителю в бензольном кольце соответствует своя константа1061-27.jpg , к-рая характеризует его способность стабилизировать промежуточно образующийся1061-28.jpgкомплекс. Каждому типу р-ции соответствует своя константа1061-29.jpg-мера близости реального промежуточного состояния в р-ции к такому комплексу.

Не подчиняются Брауна правилу селективности нитрование и арилирование толуола в среде CH3NO2 соотв. с помощью NO2BF4 и С6Н5С1*А1С13. Правило сформулировано Г. Брауном в 1953.

Литература

Бреслоу Р., Механизмы органических реакций, пер. с англ., М., 1968, с. 168-81, 189-99; Беккер Г., Введение в электронную теорию органических реакций, пер. с нем., М., 1977, с. 521-26; Днепровский А.С, Темникова Т. И., Теоретические основы органической химии, Л., 1979, с. 377-79; Общая органическая химия. пер. с англ., т. 1, М., 1981, с. 385-86. Н. С. Яшина.