Бишлера реакция

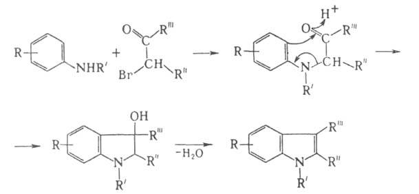
БИШЛЕРА РЕАКЦИЯ (Бишлера-Мёлау р-ция), получение замещенных индолов взаимод.1057-20.jpgгалоген- или1057-21.jpgгидроксикетонов с ариламинами с послед. циклизацией образующихся1057-22.jpgариламинокетонов в присут. кислотного катализатора, напр.:
1057-23.jpg

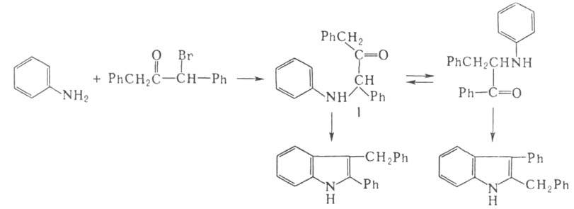
где R = CH3, С2Н5, ОСН3; R' = H, Alk; R", R'"=Alk, Ph, С6Н4СН3_n, С6Н4ОСН3_n. Процесс осуществляют при т-ре ок. 150°С. Катализаторы-НС1 или к-ты Льюиса. В случаях, когда R" не равно R'", как правило, образуется смесь двух изомерных индолов. Это происходит из-за изомеризации промежуточно образующегося1057-24.jpgариламинокетона (см. ф-лу I), быстро протекающей под действием к-т и при нагревании, напр.:
1057-25.jpg

Р-ция открыта Р. Мёлау в 1881, позднее подробно изучалась А. Бишлером.

Литература

Пакетт Л., Основы современной химии гетероциклических соединений, М., 1971, с. 147-48; Общая органическая химия, пер. с англ., т. 8, М., 1985, с. 550;Sundberg R., The chemistry of indoles, N. Y., 1970, p. 164-71; Galons H. [e.o.], "J. of Heterocyclic Chem.", 1981, v. 18, № 3, p. 561-63. Г.Л. Мищенко.

Комментарии*

Дополнения к описанию реакции Бишлера:

  • Механизм реакции включает нуклеофильное замещение галогена или гидроксильной группы в α-галоген(гидрокси)кетоне ариламином с образованием ариламинокетона, который затем подвергается кислотно-катализируемой циклизации по Фриделю-Крафтсу с последующей дегидратацией
  • Современные модификации используют микроволновый нагрев для сокращения времени реакции и повышения выхода
  • Применение - ключевой метод синтеза индольного ядра в алкалоидах, фармацевтических препаратах (например, противовоспалительных средствах) и органических люминофорах
  • Ограничения - образование смесей изомеров при использовании несимметричных кетонов затрудняет выделение целевого продукта
  • Вариации - реакция Бишлера-Напиральского для получения изохинолинов имеет аналогичный механизм циклизации
*Подобраны с помощью LLM, верифицированы, но возможны неточности.
Синонимы/примеры:* Бишлера-Напиральского реакция; Бишлера-Напиральского синтез
*подобраны ИИ, возможны неточности