Эшвайлера-Кларка реакция

ЭШВАЙЛЕРА - КЛАРКА РЕАКЦИЯ, метилирование первичных или вторичных аминов действием формальдегида и муравьиной к-ты:

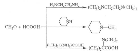
6046-31.jpg

В р-цию вступают алифатич. амины с открытой цепью и алициклич. радикалами, диамины, аралкиламины, гетероциклич. амины и аминокислоты, напр.:

6046-32.jpg

Ароматич. амины метилируются лишь при наличии орто-или пара-заместителей, препятствующих конденсации формальдегида по атому С ароматич. кольца. В Эшвайлера - Кларка реакцию не вступают азотсодержащие соед., в к-рых с атомом N связана сильно полярная группа (амиды к-т, уретаны, гуанидины, гидроксиламины).
Р-цию проводят без р-рителя при нагр. (ок. 100 °С) до полного превращения выделения СО2. Выходы обычно ок. 80%; в ряде случаев близки к количественному.
Считают, что на нач. стадии Эшвайлера - Кларка реакции образуется гидроксиметиламин (N-метилол), к-рый далее восстанавливается в соответствующий метиламин под действием НСООН (берется в р-цию в избытке).
Эшвайлера - Кларка реакция - частный случай Лейкарта-Валлаха реакции. Используют ее в препаративной практике.
Р-ция открыта В. Эшвайлером в 1905 и позднее более подробно изучена X. Кларком.

Лит.: Clarke Н. [а. о.], "J. Amer. Chem. Soc.", 1933, v. 55, p. 4571; Pine S. [a. o.], "J. Org. Chem.", 1971, v. 36, № 6, p. 829-32.

Г. И. Дрозд.

Комментарии*

Дополнения к описанию реакции Эшвайлера-Кларка:

  • Механизм реакции: Формальдегид сначала реагирует с амином, образуя N-метилолпроизводное (иминиевый ион). Муравьиная кислота действует как восстановитель, передавая гидрид-ион этому промежуточному соединению, что приводит к метилированному амину и выделению диоксида углерода (CO₂).
  • Препаративное значение: Эта реакция является классическим и до сих пор широко используемым методом в органическом синтезе для получения N-метилированных аминов, особенно ценных в фармацевтической химии.
  • Альтернативные реагенты: В современных модификациях вместо муравьиной кислоты могут использоваться другие восстановители, например, боргидрид натрия (NaBH₄) в условиях восстановительного аминирования.
*Подобраны с помощью LLM, верифицированы, но возможны неточности.
Синонимы/примеры:* Метилирование аминов метанолом в присутствии формальдегида; N-метилирование аминов
*подобраны ИИ, возможны неточности