Бетаины

БЕТАИНЫ, внутрисолевая форма соединений, содержащих карбоксильную группу и четвертичный атом N, иногда третичные атомы S или О; относятся к цвиттерионам. Название получили от простейшего представителя-бетаина1055-10.jpg . В зависимости от положения атома N (S или О) относительно карбоксильной группы различают1055-11.jpg-бетаины и др. Бетаины имеют высокую т-ру плавления, обычно хорошо раств. в воде, плохо - в эфире. При нагр. до 300°С бетаины N-метилированных1055-12.jpg аминокислот превращаются в метиловые эфиры, напр.:

1055-13.jpg Бетаины N-метилированных1055-14.jpg-аминокислот при перегонке дают непредельную к-ту и третичный амин: (СН3)31055-15.jpgСН2СН2СОО--> (CH3)3N + СН2=СНСООН. Бетаины1055-16.jpgаминокислот при нагревании образуют лактон и третичный амин, напр.:
1055-17.jpg

С солями тяжелых металлов (Pb, Au, Pt) бетаины образуют нерастворимые в орг. р-рителях комплексы, с НС1 - гидрохлориды.

Бетаины, метилированные по атому N, получают действием на аминокислоты (CH3)2SO4 или СН3С1 с послед. р-цией образующегося гидрохлорида триметилкарбоновой к-ты с ВаСО3, напр.:
1055-18.jpg

Др. способ синтеза - взаимод. триалкиламинов с галогенкарбоновыми к-тами или1055-19.jpgлактонами, напр.:
1055-20.jpg

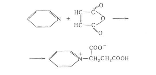
Бетаины с пиридиновым циклом получают взаимод. пиридина с малеиновым ангидридом:
1055-21.jpg

Синтез бетаинов, содержащих длинноцепочечные алкильные радикалы при атоме N, осуществляют по схеме:
1055-22.jpg

Превращения аминокислот в бетаины путем их полного метилирования - процесс, характерный для азотистого обмена мн. растений и животных. Бетаин глицина выделен из свеклы (Beta vulgaris), триптофана (гипафорин)-из Erythrino hypaphorus, пролина (стахидрин) - из Stachys tuberifera, Betonica oficinalis,1055-23.jpgаминомасляной к-ты (1055-24.jpgбутиробетаин) - из сгнившего мяса. Синтетич. бетаины, содержащие углеводородные радикалы С1018, - амфотерные ПАВ, используемые в кач-ве эмульгаторов при полимеризации, диспергаторов, антистатиков, смачивателей в бумажной, кожевенной, текстильной и металлообрабатывающей пром-сти.

Литература

Гауптман 3., Грефе Ю., Ремане X., Органическая химия, пер. с нем., М., 1979, с. 502; Поверхностно-активные вещества. Справочник, под ред. А. А. Абрамзона, Г. М. Гаевого, Л., 1979. А. И. Гершепович.

Синонимы/примеры:* Бетаин; Триметилглицин; Лицин
*подобраны ИИ, возможны неточности