Бензоптеридины

БЕНЗОПТЕРИДИНЫ (пиримидинобензопиразины), производные не полученного в своб. состоянии бензо[g]птеридина (ф-ла I). Изучены гл. обр. производные аллоксазина (II) и изоаллоксазина (III).
1053-26.jpg

Бензоптеридины - желтые или оранжево-коричневые твердые в-ва, разлагающиеся ок. 300°С без плавления. Раств. в водных р-рах щелочей и карбонатов щелочных металлов, плохо - в спирте, не раств. в воде и орг. р-рителях. Слабо амфотерны. Алкилируются в осн. по азоту пиримидинового кольца, напр. из соед. II образуются 1,3-диалкилпроизводные. Обратимо восстанавливаются в бесцв. дигидропроизводные (лейкосоединения): соед. П - в кислом р-ре, соед. III - в присут. дитионита (Na2S2O4). Окисление соед. II приводит к разрушению бензольного кольца с образованием 2,4-дигидроксиптеридина (IV).

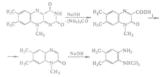
При действии сильных щелочей производные II расщепляются до гидроксихиноксалинкарбоновых к-т, а III - до гидроксигидрохиноксалинкарбоновых, к-рые при дальнейшем нагревании со щелочью превращ. в ароматич. диамины, напр.:
1053-27.jpg

Синтезируют бензоптеридины восстановлением о-нитроаминов и о-аминоазосоединений в присут. аллоксана или конденсацией аллоксана с ароматич. о-диаминами в слабокислой среде, напр.:
1053-28.jpg

Из N-метилзамещенных аллоксана получают соотв. 1-и 3-метилаллоксазины или 1,3-диметилаллоксазины; из N-замещенных о-диаминов-10-замещенные соед. III.

Бензоптеридины содержатся в дрожжах, молочной сыворотке, яичном белке, печени, рыбе, бобовых растениях. Из органов животных и разл. растений бензоптеридины выделяют адсорбцией с помощью фуллеровой земли и экстракцией пиридином. К группе бензоптеридинов относятся рибофлавин и мн. флавиновые коферменты.

Литература

Общая органическая химия, пер. с англ., т. 4-5, М., 1983; Stevens T.S., в кн.: Heterocyclic compounds, ed. by E.H. Rodd. v. 4, pt. C, Amst., I960, p. 1786-93. E.H. Kaраулова.

Синонимы/примеры:* Птеридин; Пиримидо[4,5-b]пиразин
*подобраны ИИ, возможны неточности