Химическое сродство
ХИМИЧЕСКОЕ СРОДСТВО (сродство р-ции), параметр термодинамич. системы, характеризующий отклонение от состояния хим. равновесия. Если р-цию записать в виде ур-ния:
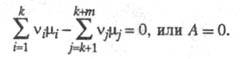
где L1, ..., Lk - исходные реагенты, Lk+1, ..., Lk+m - продукты р-ции, v1, ..., vk и vk+1 , ..., vk+m - стехиометрич. коэф., то химическое сродство А равно:
где
- хим. потенциалы соотв. исходных реагентов и продуктов. В состоянии равновесия
При A > 0 неравновесное состояние системы характеризуется избытком исходных реагентов и для достижения равновесия р-ция должна идти слева направо; при А < 0, наоборот, система содержит избыток продуктов и р-ция должна идти в противоположном направлении. Химическое сродство равно макс. полезной работе р-ции, взятой со знаком минус. Химическое сродство определяет собственно хим. процесс, связанный лишь с изменением состава системы и не связанный с работой по преодолению сил внеш. давления (см. Максимальная работа реакции).
Единица измерения химического сродства - Дж/моль.
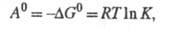
где
- стандартные хим. потенциалы соотв. реагентов и продуктов (см. Стандартное состояние). Стандартное химическое сродство связано со стандартным изменением энергии Гиббса
и константой равновесия р-ции К:
где Т - абс. т-ра; R - газовая постоянная.
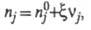
В хим. термодинамике химическое сродство рассматривается в сочетании с хим. переменной
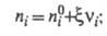
(наз. также степенью полноты р-ции, числом пробегов р-ции). Если в системе изменение чисел молей компонентов dni происходит лишь в результате хим. р-ции (закрытая система), то dni связаны соотношением:
Интегрирование этого соотношения приводит к выражениям:

где
- соотв. числа молей исходных компонентов и продуктов в начальный момент времени. Эти выражения являются определяющими для хим. переменной
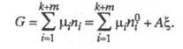
Энергия Гиббса системы
С помощью химического сродства и хим. переменной можно провести термодинамич. описание закрытой системы, где обратимо протекает хим. р-ция, способом, отличным от традиционного описания Гиббса. Цель подобного описания - уменьшить число переменных ni, nj благодаря учету стехиометрии р-ции. Полные дифференциалы термодинамических потенциалов такой системы - внутр. энергии U, энтальпии H, энергии Гиббса G, свободной энергии Гельмгольца F - м. б. представлены в виде ф-л:
(S - энтропия системы; V - объем; р - давление). Отсюда следует:
т. е. химическое сродство является производной любого термодинамич. потенциала по хим. переменной при постоянстве естеств. переменных каждого из потенциалов. В этих выражениях член
заменяет сумму
используемую при традиционном (Гиббсовом) описании. При этом вместо числа переменных (k + т)достаточно одной независимой переменной
Если в системе протекает r независимых р-ций, для описания системы нужно ввести r хим. переменных и r величин химического сродства А.
Химическое сродство и хим. переменную
обычно относят к т. наз. внутренним параметрам макроскопич. системы. Это означает, что, во-первых, А и
однозначно выражаются через параметры системы (хим. потенциалы, числа молей) и стехиометрич. коэф. и, во-вторых, A и
не характеризуют однозначно состояние термодинамич. равновесия (А = 0 для всех состояний равновесия). В термодинамике необратимых процессов величина А/Т рассматривается как обобщенная термодинамич. сила, а скорость хим. р-ции
- время) - как обобщенный поток. Произведение (A/T)w обусловливает произ-во энтропии в системе вследствие хим. реакции. Вблизи состояния термодинамич. равновесия постулируется связь между w и А/Т типа:
коэф. Lхим наз. хим. проводимостью.
Понятие химического сродства введено Т. де Донде в 1922.
Лит. см. при ст. Термодинамика необратимых процессов, Термодинамические потенциалы.
М. В. Коробов.