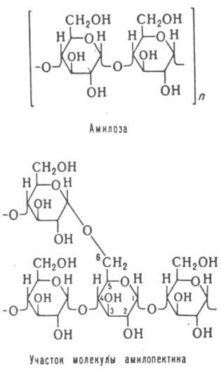
Крахмал

КРАХМАЛ, главный резервный полисахарид растений; накапливается в виде зерен в клетках семян, луковиц, клубней, а также в листьях и стеблях. Бесцв. аморфное в-во, не раств. в холодной воде, диэтиловом эфире, этаноле, в горячей воде образует клейстер; [a]D от +180 до +210°. В зернах крахмала содержатся 98-99,5% полисахаридов и 0,5-2% неуглеводных компонентов (в т.ч. липиды, белки, зольные элементы). Крахмал представляет собой смесь линейного (амилозы) и разветвленного (амилопектина) полисахаридов. Амилоза построена гл. обр. из остатков a-D-глюкопиранозы с 1:4 - связями. В зависимости от вида растения мол. м. амилозы колеблется от 150 тыс. (рисовый, кукурузный крахмал) до 500 тыс. (картофельный крахмал). Молекулы амилопектина сильно разветвлены и состоят из фрагментов амилозы (ок. 20 моносахаридных остатков), связанных между собой а-1:6-связями. Мол. м. 106-109. В структуре амилопектина различают центр. цепь с кол-вом звеньев более 60, несущую остаток глюкозы со своб. восстанавливающей группой, короткие цепи из 15-20 остатков (S-цепи), расположенные на периферии молекулы и внутри нее, и длинные (ок. 45 звеньев) L-цепи (см. рис.). По строению амилопектин близок к гликогену. В воде амилопектин, также как амилоза, образует мицеллярные р-ры.
Амилоза, участок молекулы амилопектина

Соотношение амилозы и амилопектина в крахмале зависит от вида растения и стадии его развития. В среднем крахмал содержит 15-25% амилозы и 75-86% амилопектина; в результате селекции выделены сорта растений, крахмал к-рых обогащен одним из полисахаридов. Фракционирование крахмала на амилозу и амилопектин проводят избират. извлечением амилозы, горячей водой из крахмальных зерен или ее осаждением в виде комплексов с бутанолом или тимолом после диспергирования крахмала в кипящей воде или ДМСО. В хроматографич. методах разделения используют способность амилозы к адсорбции на целлюлозе в присут. этанола и мочевины, а также преимуществ. связывание амилопектина с лектинами типа кон-канавалина А. Нек-рые виды крахмала содержат также низкомол. ("аномальную") амилозу со значит. кол-вом ветвлений или низкомол. амилопектин с 13-15 звеньями (фитогликоген). В теплой воде зерна крахмала набухают и небольшая часть полисахаридов переходит в р-р. При определенных т-рах, различных для крахмала разных растений, происходит клейстеризация крахмала, проявляющаяся в сильном разбухании крахмальных зерен, их разрыве и образовании более или менее однородного р-ра - крахмального клейстера. Процесс клейстеризации заключается, по-видимому, в разрыве водородных связей, соединяющих элементы структуры крахмальных зерен, сочетающемся с набуханием. Т-ра клейстеризации картофельного крахмала 55-65, пшеничного 60-80, кукурузного 65-70, рисового 70-80 °С. Из клейстера и р-ров амилозы при длит. хранении выпадает амилоза; этот процесс наз. ретроградацией.
Структура амилопектина
Рис. Модель структуры амилопектина: 1 S-цепь; 2 L-цепь; 3 восстанавливающий остаток; а - компактная область с упорядоченной кристаллич. структурой; б - область, не обладающая кристалличностью. По хим. св-вам крахмал-типичный представитель полисахаридов. В обычных условиях крахмал образует по гидроксильным группам простые или сложные эфиры и окисляется солями йодной к-ты. Действие нек-рых реагентов, напр. формальдегида, фосфорной к-ты и эпихлоргидрина, приводит к производным крахмала, содержащим поперечные сшивки. С иодом и полярными орг. в-вами крахмал образует соед. включения (клатраты). Такие соед. с иодом окрашены в характерные цвета-синий (lмакс 620-680 нм) для амилозы и красный (lмaкс 520-555 нм) для амилопектина. Молекулы амилозы в этих комплексах образуют вокруг молекулы иода спираль, каждый виток к-рой содержит 6 остатков глюкозы. При термич. обработке сухого крахмала (т-ра ок. 300 °С), g-облучении, кислотном или ферментативном гидролизе получают продукты его частичного расщепления - разл. декстрины. Известны многочисл. ферменты (гл. обр. амилазы), катализирующие гидролиз крахмала. Избират. гидролиз а-1:6-связей в крахмале может быть осуществлен под действием изоамилазы и пуллуланазы. При действии трансглюкозилаз нек-рых бактерий крахмал превращ. в циклич. олигосахариды -циклоамилозы (циклодекстрины). Количественно крахмал и его компоненты определяют гравиметрически (осаждение иодом), амлерометрич. и потенциометрич. титрованием, спектрофотометрически (комплексы с иодом), а также с помощью кислотного и ферментативного гидролиза. В последних случаях образующуюся глюкозу определяют хим. или ферментативными методами. Биосинтез крахмала в растениях осуществляется глюкозилтрансферазами, переносящими остатки глюкозы от молекул нуклеозиддифосфаттлюкозы на растущие цепи с образованием a-1:4-связей, и ветвящим ферментом, перестраивающим линейные цели в разветвленные. Крахмал, накапливающийся в листьях, быстро превращ. в сахарозу, к-рая переходит из листьев в семена, клубни и луковицы, где сахароза снова превращ. в крахмал, откладывающийся на длит. хранение. Расщепление крахмала в растениях осуществляется под действием фосфорилаз (фосфоролиз крахмала) и гидролитич. ферментов. Потребности человека в углеводах покрываются гл. обр. крахмалом, содержащимся в растит. пище - хлебе, картофеле, крупах и т.п. В пром. масштабе крахмал получают гл. обр. из картофеля и кукурузы, в меньшей степени - из риса, пшеницы, батата, саговой пальмы, сорго и др. растений. Из измельченного сырья после вымывания крахмала водой, отделения отходов и осаждения крахмала из промывной жидкости (крахмального молока) на центрифуге получают сырой крахмал с влажностью до 36%; после очистки от белков, липидов и др. в-в его обезвоживают и сушат до влажности 20% (чистый крахмал). Крахмал применяют в пищ. пром-сти в качестве загустителей и желирующих ср-в; в биотехнологии - для произ-ва патоки, разл. декстринов (мальтина, цихлоамилозы) и глюкозы; в бродильной пром-сти - в качестве сырья для произ-ва этилового и бутилового спиртов, ацетона, глюконовой, лимонной и молочной к-т, глицерина и др. (см. Брожение). Крахмал применяют также в качестве клеев, в микробиол. средах при произ-ве ферментов, антибиотиков, витаминов и др. биопрепаратов, используют для шлихтования тканей и бумаги, изготовления амилозных полимерных пленок, легко поддающихся биодеградации. Применяют также модифицир. крахмал, к-рый получают соответствующей технол. или хим. обработкой чистого крахмала. Так, частично гидролизованный, окисленный гипохлоритом (окисленный), сшитый фосфорной к-той (фосфатный) и быстронабухающий крахмал используют в пищ. и фармацевтич. пром-сти, ацетилированный - при произ-ве пленок и волокон, гидроксиэтилированный - в текстильной и бумажной пром-сти, алкилпроизводные крахмала-в качестве клеев и пластификаторов. Объем мирового произ-ва крахмала ок. 20 млн. т/год.
Литература
Ряхтер М.. Аугустат 3., Ширбаум Ф.. Избранные методы исследования крахмала, пер. с нем., М.. 1975; Химия и технология крахмала. Промышленные вопросы, пер. с англ., М., I97S; Степаненко Б. Н., Химия и биохимия углеводов (полисахариды), М., 1978; Крахмал и крахмалопродукты, М., 1985 (Современная технология); Панов В. П., Жбанков Р. Г., Внутри- и межмолекулярные взаимодействия углеводов, Минск, 1988; Seidemann J, Starke-Atlai, В.- Hamb, 1966; The polysaccharide", v. 2-3, N.Y.-[a.o.], 1983-85; Duff us С. М., Duff us J. Н. Carbohydrate methabolism in plants, L-N.Y, 1984; Starch: properties and potential, ed. by T.Galliard, Chichester, 1987.
Л. И. Линевич.

Синонимы/примеры:* Амилоза; Амилопектин
*подобраны ИИ, возможны неточности