Краун-эфиры

КРАУН-ЭФИРЫ (краун-соединения), макрогетероциклич. соед., содержащие в цикле св. 11 атомов, из к-рых не менее 4 - гетероатомы, связанные между собой этиленовыми мостиками; являются полидентатными лигандами в комплексах с катионами металлов. Структура простейшего краун-эфира представлена ф-лой I. Если один или неск. атомов О заменены атомами N или S, соответствующие соед. наз. азакраун- или тиакраун-эфирами (см., напр., ф-лы II и III). Краун-эфиры, конденсированные с одним или неск. бензольными или циклогексановыми кольцами, называют соотв. бензокраун- и циклогексанокраун-эфирами (см., напр., ф-лы IV и V). Известны также краун-соединения, содержащие в цикле гетероатомы Р, Si, As или др., амидные, сложноэфирные или др. функц. группы.
481_500-48.jpg
В тривиальных назв. краун-эфиров общее число атомов в цикле и число гетероатомов обозначают цифрами, к-рые ставят соотв. перед и после слова "краун", напр. 12-краун-4 (ф-ла I), 1,10-диаза-18-краун-6 (И), 1,7-дитиа-15-краун-5 (III), дибензо-18-краун-6 (IV), циклогексано-15-краун-5 (V). Такие назв. однозначно не определяют структурную ф-лу соединения. По номенклатуре ИЮПАК, соед. I и II наз. соотв. 1,4,7,10,13-тетра-оксациклододекан и 1,4, 10,13-тетраокса-7,16-диаза-циклооктадекан. Краун-эфиры - вязкие жидкости или кристаллич. в-ва; хорошо раств. в большинстве орг. р-рителей, слабо - в воде; 12-граун-4, 15-краун-5 и азакраун-эфиры хорошо раств. в воде. Хим. св-ва определяются природой гетероатома и функц. групп в молекуле. Краун-эфиры образуют устойчивые липофильные комплексы с катионами металлов, в осн. щелочных и щелочно-земельных. При этом катион включается во внутримол. полость краун-эфира и удерживается там благодаря ион-дипольному взаимод. со всеми гетероатомами. Наиб. устойчивы комплексы с катионами, геом. параметры к-рых соответствуют полости краун-эфира (табл.). Р-римость соед., катион к-рого попадает в полость краун-эфира, возрастает, что позволяет солюбилизировать соли щелочных и щел.-зем. металлов в малополярных р-рителях. Анион в р-ре слабо сольватирован, что приводит к росту его нуклеофильности и основности. Краун-эфиры способны экстрагировать соли металлов и нек-рые орг. соед. (амины, аминокислоты и др.) из водной фазы в органическую и осуществлять их транспорт через жидкие мембраны. Биол. активность краун-эфиров обусловлена их влиянием на ионную и субстратную
481_500-49.jpg
проницаемость биол. мембран, а также на ферментные системы.
Краун-эфиры проявляют психотропную, кардиотропную, противомикробную и противопаразитарную активность, обеспечивают выведение тяжелых металлов из организма. Краун-эфиры получают в осн. конденсацией дигалогеналканов или диэфиров п-толуолсулъфокислоты (дитозилатов) с полиэтиленгликолями в ТГФ, диоксане, диметоксиэтане, ДМСО или wpem-бутаноле в присут. оснований (гидриды, гидроксиды, карбонаты и др.), внутримол. циклизацией монотозилатов полиэтиленгликолей в диоксане, диглиме или ТГФ в присут. гидроксидов щелочных металлов, а также циклоолигомеризацией этиленоксида в присут. BF3 и борофторидов щелочных и щел.-зем. металлов, напр.:

481_500-50.jpg
Выход краун-эфира зависит от природы присутствующего катиона металла, что объясняется его координацией с образующимися на первой стадии алкоголят-анионами, напр.:
481_500-51.jpg
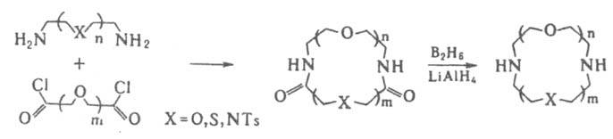
В таком предшественнике краун-эфира реакц. центры максимально сближены, что способствует дальнейшей внутримолекулярной циклизации (матричный эффект). наиб. каталитич. эффект проявляют катионы, образующие с краун-эфиром прочный интермедиат. Азакраун-эфиры получают: I) ацилированием ди- или полиаминов с частично защищенными аминогруппами хлорангидридами дикарбоновых к-т в условиях большого разбавления с послед. восстановлением образующихся макроциклич. диамидов:
481_500-52.jpg
2) алкилированием дитозилдиаминов дигалогенопроизводными или дитозилатами гликолей в присут. гидридов или гидроксидов щелочных металлов, а также в условиях межфазного катализа, напр.:
481_500-53.jpg
Тиакраун-эфиры получают из тиааналогов полиэтиленгликолей аналогично обычным краун-эфирам или алкилированием дитиолов дигалогенидами или дитозилатами в присут. оснований. Краун-эфиры применяют для концентрирования, разделения, очистки и регенерации металлов, в т.ч. лантаноидов, для разделения нуклидов, энантиомеров; для создания ион-селективных датчиков и мембран; в качестве катализаторов в р-циях, проходящих с участием анионов; для изучения механизма транспорта ионов в биол. системах; как лек. препараты, пестициды, антидоты.
Литература
Овчинников Ю.А., Иванов В.Т., Шкроб А.М., Мембранно-активные комплексены, М., 1974; Богатский А. В., "Биоорган, химия", 1983, т. 9, № П. с. 1445-82; JongF. de, Reinhoudt D.N., Stability and reactivity of crown-ethers complexes, L.-[a.o.]. 1981; Hiraoka M., Crown compounds: their characteristics and applications, Amst, 1982; Gokel G.W., Korzeniowski S.H, Macrocyclic polyether synthesis. В., 1982. Н.Г. Лукьяненко.

Синонимы/примеры:* Краун-эфиры; Краун-соединения; Циклические полиэфиры
*подобраны ИИ, возможны неточности