Кобальторганические соединения

КОБАЛЬТОРГАНИЧЕСКИЕ СОЕДИНЕНИЯ, содержат связь Со—С. В большинстве известных кобальторганических соединений, в т.ч. в наиб. устойчивых, Со находится в степенях окисления +3, +1, реже -1 и имеет соотв. координац. числа 6, 5 и 4. Степеням окисления (0, + 2, + 4), как правило, соответствуют сравнительно лабильные кобальторганические соединения; они либо парамагнитны, либо представляют собой диамагнитные димеры со связью Со—Со. У кобальторганических соединений, содержащих лиганды сильного поля, напр. циклопента-диенил (Ср), в условиях окисления (восстановления) возможны легкие переходы между соседними состояниями окисления, напр. Со(III) и Со(II), без изменения лигандного окружения атома Со. Исходное в-во для получения мн. кобальторганических соединений - октакарбонилдикобальт Со2(СО)8 (см. Кобальта карбонилы). Большинство соед. Со(I) содержат лиганды p-акцепторного типа (СО, RNC, R3P, Ср и т.п.), напр. лабильные алкил- и ацилтетракарбонилы, являющиеся интермедиатами в гидроформилировании. Эти соед. м. б. получены также взаимод. соответствующих орг. галогенопроизводных RHal и RCOHal с Na[Co(CO)4]. Устойчивость s-органических производных Со(I) возрастает при замещении карбонильного лиганда на фосфиновый или фосфитный, или в случае электроотрицательных s-связанных орг. групп, напр. перфторалкильных.
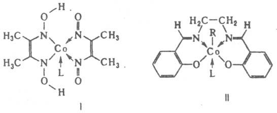
Среди соед. Со(II) наиб. важны кобальтоцен [СоСр2] и комплексы типа [Co(s-R)2L2], где L-фосфин, амин и др. Кобальтоцен получают обычными методами синтеза циклапентадиенильных комплексов переходных металлов. Для этого весьма реакционноспособного в-ва особенно характерно легкое окисление с образованием иона кобальтициния [СоСр2]+. Соед. типа [Co(s-R)2L2] образуются при взаимод. комплексов [CoHal2L2] с магний- и литийорг. соединениями. Они, как правило, неустойчивы, и выделить удается лишь те из них, в к-рых R содержат заместители либо электроноакцепторные (напр., C6F5), либо пространственно затрудняющие атаку центр, иона (диортозамещенные арилы). Соед. Со(III) многочисленны и разнообразны. Из них следует отметить весьма устойчивый ион кобальтициния, изоэлектронный с ферроценом, и комплексы с s-связью Со—С. Последние, как правило, имеют октаэдрич. структуру. наиб. характерны комплексы, содержащие в экваториальном положении тетрадентатный (или бис-бидентатный) лиганд. К ним относятся прир. металлоорг. соединения коферментные формы витамина В12. Др. комплексы этого типа, напр. с хелатирующими дианионами из a-диоксимов (ф-ла I) и шиффовых оснований (II) общей ф-лы [RCo(chel)L], (chel - хелатирующий лиганд), принято
401_420-35.jpg
рассматривать как их модели. наиб. важный метод синтеза таких соед. - р-ция комплексов Со(I) с алкилгалогенидами. Др. методы: присоединение гидридных комплексов Со(III) по кратным углерод-углеродным связям, р-ции комплексов Со(II) с источниками своб. радикалов, взаимод. комплексов Со(II) с литий- и магнийорг. соединениями или устойчивыми карбанионами, напр.401_420-36.jpg Осн. типы р-ций этих кобальторганических соединений: 1. Разрыв Со—С - связи а) под действием нуклеофилов, напр. по ур-ниям 1-3, б) гомолиз под действием света или тепла (ур-нис 4; через эту стадию происходит внедрение нек-рых реагентов, напр. О2 и SO2, по связи Со—С), а также бимолекулярные р-ции гомолитич. замещения, в) под действием электрофилов, напр. по ур-нию (5). 2. Одноэлектронное окисление и восстановление с образованием неустойчивых соед. Со (IV) и Со (II) (ур-ния 6 и 7). 3. Обмен лиганда в транс-положении к s-связанной орг. группе (8).
401_420-37.jpg
Известны два типа соед. Со (IV): 1. Неустойчивые октаэдрич. соед. с экваториальными тетрадентатными (или бис-бидентатными) лигандами. Эти комплексы, не выделенные в индивидуальном виде, генерируют окислением соответствующих соед. Со(III) (см. ур-ние 6). Для них характерна легкая передача а-связанной орг. группы на нуклеофилы, напр. пиридин:
[RCoIV(chel)]+Ру:[RPy]++[CoII(chel)]
2. Соед. типа [CoR4], где R-третичный бициклич. углеводородный радикал, напр. 1-норборнил. Они получены р-циями солей Со(II) с соответствующими литийорг. соед. и обладают довольно высокой устойчивостью. При их окислении и восстановлении м. б. получены соответствующие го-молептич. комплексы Co(V) и Со(III)-[CoR4]+ и [CoR4]-. Кобальторганические соединения используют как катализаторы циклотримеризации производных ацетилена и особенно их совместной циклотримеризации с нитрилами. Комплексы Со(III) начинают применять в орг. синтезе как реагенты при радикальном замещении. Лит.. Леонова Е. В., Сюндюкова В. X., в кн.: Методы элементоорганической химии. Кобальт, никель, платиновые металлы, под общ. ред. А.Н. Несмеянова и К. А. Кочешкова, М., 1978; Kemmitt R. D. W., Russell D. R., в кн.: Comprehensive organometallic chemistry, v. 5, ed. by G. Wilkinson, Oxt, 1982, p. 1 276. И.Я. Левитин.