Норборнен
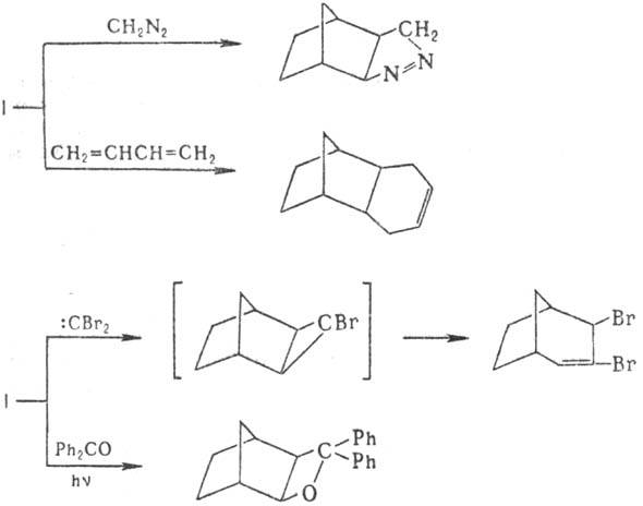
НОРБОРНЕН (бицикло[2.2.1]гепт-2-ен, ф-ла I), мол.м.94,16; т.пл. 44-46 °С, т.кип. 96 °С; d430 0,8589; DH0обр (газ) - 89,5 кДж/моль. Норборнен-напряженный олефин, энергия напряжения 108,0 кДж/моль; отличается высокой реакц. способностью. Как правило, легко вступает в р-ции циклоприсоединения по типам [2 + 1], [2 + 2], [2 + 3] и [2 Ч- 4]. В последнем случае образуются аддукты как с активированными, так и с неактивированными диенами:


Норборнен вступает в р-ции нуклеоф. присоединения, напр.:

Р-ции электроф. присоединения к норборнену приводят в большинстве случаев к экзо,экзо-соед., напр.:

С в о б о д н о р а д и к а л ь н о е присоединение также часто идёт как экзо, экзо-реакция, хотя известны случаи экзо, эндо-присоединения, напр.:

Норборнен-удобная модель для изучения скелетных перегруппировок типа Вагнера-Меервейна. В р-циях с электроф. реагентами (NO+2, ArS+ и др.) по соотношению перегруп-пир. и неперегруппир. продуктов можно судить о "силе" электрофила. Напр., в р-ции с ArS+BF-4 образуется больше перегруппир. продуктов, а в р-ции с ArSCl-продуктов 2,3-присоединения:

Получают норборнен взаимод. циклопентадиена и этилена при 200 oС.
Норборнен широко используют для получения разл. производных норборнана.
Лит.: Азовская В. А., Прилежаева Е.Н., "Успехи химии", 1972, т. 41, в. 6, с. 1038-66; Общая органическая химия, пер. с апгл., т. 1, 1981, с. 121.
Н. В Зык.