Хлорметилирование

ХЛОРМЕТИЛИРОВАНИЕ, введение хлорметильной группы СН2С1 в молекулу орг. соед. Особенно гладко протекает хлорметилирование ароматич. соед. (р-ция Блана). Р-цию осуществляют действием формальдегида и НС1 в присут. к-т Льюиса или протонных к-т (ZnCl2, A1C13, SnCl4, H2SO4, H3PO4), напр.:

6005-53.jpg
6005-54.jpg

Вместо формальдегида можно использовать триоксиметилен, параформ, ацетали формальдегида. Легкость р-ции зависит от природы заместителей; электронодонорные заместители ускоряют р-цию. Легко хлорметилируется нитробензол, м-динитробензол в р-цию не вступает. Хлорметилирование аминов и фенолов приводит к полимерным продуктам. Хлорметилирование нафталина протекает в присут. ледяной СН3СООН и Н3РО4.
При хлорметилировании ароматич. соед. могут образовываться соед., содержащие 2, 3 (и более) хлорметильные группы; для получения монозамещенного продукта применяют 4-5-кратный избыток исходного соед.
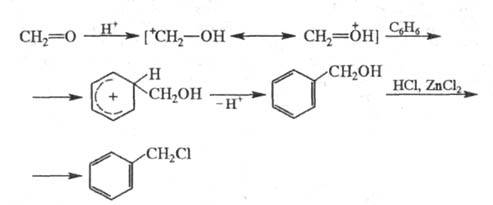
Механизм хлорметилирования включает образование гидроксиметилпроизводного, к-рое далее под действием НС1 превращается в хлорметилзамещенное соед.; атакующим электрофилом служит гидроксиметил-катион:

6005-55.jpg

Аналогично хлорметилированию осуществляют фторметилирование, бромметилирование и иодметилирование с использованием соответствующих галогеноводородных к-т.
Хлорметилирование можно проводить с помощью хлорметилалкиловых эфиров, напр.:

6005-56.jpg

Хлорметилэтиловый эфир применяют для введения хлорметильной группы в полистирол; р-цию проводят в диоксане в присут. ZnCl2.
Хлорметилирование азотсодержащих соед. м. б. осуществлено путем замещения атома хлора, напр.:

6005-57.jpg

Хлорметилирование используют для получения бензилхлорида, хлорметильных производных ксилолов, псевдокумола и др. Р-ция предложена Г. Бланом в 1923.

Лит.: Общая органическая химия, пер. с англ., т. 1, М., 1981, с. 353-55; Мищенко ГЛ., Вацуро К.В., Синтетические методы органической химии, М., 1982, с. 390-91.

Л. Н. Максимова.