Фуроксан
ФУРОКСАН (1,2,5-оксадиазол-N-оксид, N-оксид фуразана), мол. м. 86,03. Незамещенный фуроксан (ф-ла I) не выделен; производные фуроксана- бесцв. жидкости или кристаллы; не раств. в воде, раств. в орг. р-рителях.
Наиб, изучены моно- и дизамещенные производные фуроксана, а также конденсированные фуроксаны- бензофуроксан (П) и наф-то[1,2-c]фуроксан (III). T. пл. 3-, 4-фенилфуроксанов, 3,4-ди-мстилфуроксана, бензофуроксана и нафто[1,2-с]фуроксана соотв. 108-109, 111-112, 114, 72 и 127 0С.

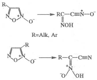
При действии оснований 4-замещенные фуроксана превращаются в N-оксиды замещенных a-гидроксииминоацетонитрилов, 3-замешенные - в ациформы замещенных a-нитроацетонит-рилов:

При восстановлении SnCl2 4-замещенные фуроксана превращаются в соответствующие 1,2,5-оксадиазолы (3-замещенные в этих условиях не восстанавливаются), при действии Zn в CH3COOH - в производные глиоксимов, при натр, в протонных к-тах - в производные 1,2,4-оксадиазола, напр.:

Дизамещенные производные фуроксана под действием Zn в CH3COOH, SnCl2 в HCl или CH3COOH, триалкилфосфинов и триалкилфосфатов восстанавливаются до 3,4-дизамещен-ных 1,2,5-оксадиазола. Электрохим. восстановление, действие NH2OH в щелочной среде, NaBH4 или каталитич. гидрирование приводят к соответствующим замещенным глиокси-ма, действие LiAlH4 - к аминам, напр.:

Термолиз производных фуроксана протекает с образованием N-ок-сидов нитрилов, к-рые при высокой т-ре изомеризуются в изоцианаты, напр.:

Взаимод. дизамещенных производных фуроксана с реактивами Гриньяра приводит к смеси кетонов:

Для 5(б)-замещенных бензофуроксана характерно тауто-мерное превращение, протекающее через стадию образования о-динитрозопроизводных бензола; если X - электронодонор-ная группа, то равновесие смещено в сторону формы А, если электроноакцепторная - то в сторону формы Б:

Общий метод получения производных фуроксана- окисление сте-реоизомеров глиоксимов под действием K3Fe(CN)6, NaXO (X = Cl, Br), Br2+ H2O, I2, N2O4, HNO3 или Рb(ОСОСН3)4 и димеризация N-оксидов нитрилов:

Бензофуроксан синтезируют из диоксима о-бензохинона.
Производные фуроксана- ингибиторы полимеризации и коррозии, сенсибилизаторы фотоматериалов, пластификаторы полимерных композиций, компоненты BB и твердых ракетных топлив, многие производные фуроксана проявляют физиол. активность, регулируют рост растений.
Лит.: Гетероциклические соединения, под ред. P. Элвдерфилда, пер. с англ., т. 7, M., 1965, с. 357-415; Хмельницкий Л.И., Новиков С.С, Годовикова T.И., Химия фуроксанов. Строение и синтез, M., 1981; они ж е, Химия фуроксанов. Реакции и применение, M., 1983; Общая органическая химия, пер. с англ., т. 9, M., 1985, с. 530-35; Stuart K.L., Heterocycles, v. 3, 1975, р. 651; Paton R. M., в кн.: Comprehensive heterocyclic chemistry, ed. by A. P. Katritzky, v. 6, pt 4В, N. Y., 1984, p. 394.
Г. А. Швехгеймер, В. И. Келарев.