Уги реакция
УГИ РЕАКЦИЯ, присоединение солей иммония к изонитри-лам с дальнейшим превращением продукта присоединения (ф-ла I) в зависимости от характера группы X:

При X = ОН, SeH, S2O3 и N3 превращения соед. I осуществляются по схеме, напр.:

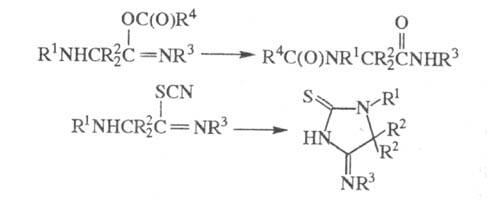
При X = NCO, SCN, OC(O)Alk и OC(O)OAlk происходят внутримол. превращения, затрагивающие аминогруппу, напр.:

Уги реакцию можно осуществлять постадийно или в одну стадию, добавляя в мягких условиях к трем исходным компонентам Пассерини реакции (изонитрилу, альдегиду или кетону и кислотной компоненте) четвертый - NH3 или RNH2, напр.:

На практике в Уги реакцию может вводиться и св. 4 компонентов. В качестве "кислотного" компонента в Уги реакцию можно вводить карбоновые к-ты, аминокислоты, HN3, HNCO, H2O и др. (с использованием N-замещенных аминокислот получают, в частности, пептиды). Выходы обычно хорошие.
Механизм Уги реакции мало изучен. Считают, что образование соед. I осуществляется по схеме:

Помимо солей иммония в Уги реакцию вступают мн. электроф. соед. со связями C = N. Наиб, активные из них (ацилизоци-анаты и ацилимины перфторкетонов) реагируют с изонитри-лами в отсутствие кислотного компонента, напр.:

Уги реакцию широко используют в препаративной практике. Она открыта в 1960 И. Уги.
Лит.: Ugil., Steinbruckner C., "Angew. Chem.", 1960, Bd 72, S. 267; Ugi L, "Newer Methods Prep. Org. Chem.", 1968, № 4, p. 1-36; его же, "Angew. Chem., Int. Engl. Ed.", 1982, № 21, p. 810. Г. И. Дрозд.