Пассерини реакция
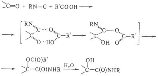
ПАССЕРИНИ РЕАКЦИЯ, получение N-замещенных 1-гид-роксикарбоксамидов взаимод. альдегидов или кетонов с ароматич. или алифатич. изонитрилами и карбоновыми к-тами с послед. гидролизом образующихся 1-ацилокси-карбоксамидов:

Р-цию обычно проводят в апротонном р-рителе смешиванием эквимол. кол-в реагентов и выдерживанием реакц. среды при -20 0C неск. дней; затем осуществляют гидролиз. В р-цию вступают алифатич., алициклич. и ароматич. альдегиды и кетоны. Выходы конечного продукта достигают 90%.
Модификация Пассерини реакции - получение 1-трифторацетилоксикар-боксамидов взаимод. при -5 0C альдегида, трет-C4H9NC, пиридина и CF3COOH в CH2Cl2 с последующим нагреванием смеси до 20 0C (выход 30-70%).
Пассерини реакция имеет препаративное значение благодаря возможности синтеза разнообразных классов соединений. Так, использование в качестве карбонильной компоненты 1-хлор-кетонов приводит к 2-ацилокси-З-хлоркарбоксамидам, из к-рых легко м. б. получены азетидиноны или оксираны:
Р-ция открыта в 1921 M. Пассерини.

Лит.: Тишенко И. Г. [и др]. "Доклады АН БССР", 1980, т. 24. № 8, с. 719-21; Hagedorn I., Eholser U., "Chem. Ber.", 1965. Bd. 98, № 3. S. 936-40; Lumma W., "J. Org. Chem.", 1981, v. 46, №18, p. 3668-71; Sebti S., Fоасaud А., "Synthesis", 1983, № 7, p. 546-49. К. В. Вацуро.
Дополнения к описанию реакции Пассерини: