Токолитические средства
ТОКОЛИТИЧЕСКИЕ СРЕДСТВА (токолитики) (от греч. tokos-роды и lysis-здесь избавление, освобождение), лек. в-ва, снижающие сократит. активность матки, предотвращая преждевременные роды. В качестве токолитических средств применяют в-ва с разл. механизмом действия. Так, уменьшение сокращений матки можно достигнуть путем воздействия на полисинап-тич. спинальные рефлексы и усиления процессов торможения в системах головного мозга, где нейромедиатором является g-аминомасляная к-та. Такое действие характерно для т. наз. центральных миорелаксантов, напр. хлордиазе-поксида (элениум; см. Транквилизаторы). Спазмолитические средства, в частности папаверин и но-шпа, являются ингибиторами фермента фосфодиэстеразы, катализирующей распад циклич. аденозинмонофосфата (цАМФ). Накопление последнего внутри клеток вызывает усиленное фосфорили-рование киназы, т.е. угнетение ее способности фосфорили-ровать миозин, что и приводит к расслаблению матки.
Наряду с этим спазмолитич. ср-ва оказывают сосудорасширяющее действие, улучшая периферич. кровообращение. Холинолитические средства, напр. метацин
, избирательно блокируют мускариновые холинорецепторы периферич. органов, в т.ч. матки, что вызывает уменьшение амплитуды и частоты ее сокращений. Сульфат магния MgSO4·7H2O оказывает угртающее действие на нервно-мышечную передачу, ингибирует высвобождение ацетилхолина в нервно-мышечных синапсах, что также приводит к торможению сократит. активности матки. Ряд препаратов, в частности индометацин (ф-ла I), ацетилсалициловая кислота, вызывают расслабление матки, т.к. ингибируют фермент проста-гландинсинтетазу, ответственную за синтез простагланди-нов, к-рые оказывают возбуждающее действие на матку.

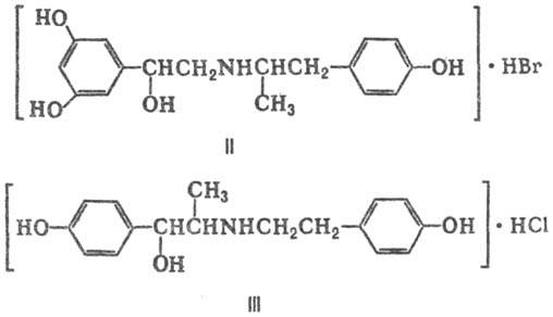
Наиб. широко применяют токолитические средства из группы стимуляторов b-адренорецепторов (см. Адреномиметические средства), напр. фенотерол (беротек, партусистен; II) и ритодрин (III), производимых за рубежом, а также изадрин. Механизм действия этих препаратов связан с возбуждением b-адренорецепторов, в т.ч. в матке, что приводит к накоплению цАМФ. Уменьшая общее периферич. сопротивление сосудов, токолитические средства этой группы расширяют артериолы и увеличивают кровоток, что приводит к улучшению маточно-плацентар-ного кровообращения. В качестве токолитических средств иногда используют также этанол, оказывающий прямое расслабляющее действие на матку и угнетающий высвобождение окситоцина из задней доли гипофиза.

Лит.: Машковский М. Д., Лекарственные средства, 11 изд., М., 1988; Клиническая фармакология при беременности, под ред. X. П. Кьюмерле, К. Брендела, пер. с англ., т. 1-2, М., 1987. Е.М. Ганкина.