Спазмолитические средства
СПАЗМОЛИТИЧЕСКИЕ СРЕДСТВА (спазмолитики), лек. в-ва, вызывающие понижение тонуса или устранение спазма гладкой мускулатуры сосудов и внутр. органов (желудочно-кишечного тракта, бронхов, матки, желчных и мочевыводя-щих путей и т.п.). Спазмолитич. св-вами обладают препараты, воздействующие на разл. звенья регуляции тонуса гладкой мускулатуры. Различают нейротропные (действуют на нервную систему) и прямые миотропные (действуют на мышцы) спазмолитические средства, однако нек-рые лек. в-ва можно отнести одновременно к обеим группам. Среди нейротропных спазмолитических средств выделяют в-ва центрального (снотворные средства, седа-тивные средства, транквилизаторы) и периферического (холинолитические средства, адреноблокирующие средства, адреномиметические средства, ганглиоблокирующие средства) действия.
Спазмолитич. эффект спазмолитических средств центр. действия связан с ограничением поступления нервных импульсов из центр. нервной системы к исполнит. органам. Периферич. нейротропные спазмолитические средства блокируют или стимулируют соответствующие рецепторы в исполнит. органах и сосудах. Напр., холинолитич. препараты понижают тонус или устраняют спазм органов желудочно-кишечного тракта при язвенной болезни желудка и двенадцатиперстной кишки; стимуляторы b2-ад-ренорецепторов уменьшают спазм бронхиальной мускулатуры при обструктивных бронхолегочных заболеваниях.
Механизмы действия миотропных спазмолитических средств до конца не выяснены. Предполагают, что эти препараты влияют на биохим. и биофиз. р-ции, сопровождающие мышечное сокращение и регулирующие содержание циклич. нуклеотидов в глад-комышечной клетке, активность фосфодиэстеразы, перемещение ионов Na+, К+ и Са2+, образование или выделение из тканевых депо эндогенных биологически активных в-в (гистамин, серотонин, кинины и др.), изменяющих тонус гладкой мускулатуры сосудов и внутр. органов.
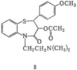
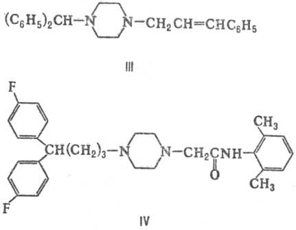
Спазмолитич. св-вами обладают также препараты из группы т. наз. антагонистов ионов Са2+. Механизм их действия связывают со способностью тормозить вход в гладкомы-шечную клетку необходимых для мышечного сокращения ионов Са2+ и понижать в связи с этим активность миофиб-рилляторной аденозинтрифосфатазы, что ведет к уменьшению утилизации мышцей богатых энергией фосфатов и, следовательно, к ее расслаблению. К антагонистам Са2+ относятся производные фенилалкиламина (напр., верапа-мил), дигидропиридина (фенигидин, или нифедипин; ф-ла I), бензотиазепина (дилтиазем; II), пиперазина (циннаризин, или стугерон, III; лидофлазин, IV).



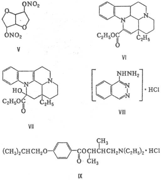
Ряд миотропных спазмолитических средств оказывает избират. действие на тонус гладкой мускулатуры определенных органов или сосудистых областей. Среди них выделяют ср-ва: коронаро-расширяющие (антиангинальные ср-ва, коронаролитики), улучшающие мозговое и периферич. (периферич. вазодила-таторы) кровообращение, бронхорасширяющие (бронходи-лататоры, бронхолитики), понижающие тонус матки (то-колитические средства) и др. Коронарорасширяющими спазмолитическими средствами являются орг. и неорг. нитриты и нитраты -нитроглицерин, эринит C[CH2ONO2]4, нитросорбид (V), амилнитрит (CH3)2CHCH2CH2ONO, нитрит натрия NaNO2 и др. Большинство препаратов этой группы используют в виде т. наз. пролонгированных лек. форм, к-рые постепенно выделяют в организме активное в-во. Спазмы сосудов мозга уменьшают, в частности, производные винкаминовой к-ты- природные (девинкан; VI) и синтетические (кавинтон; VII). Периферич. вазодилататоры включают производное фтала-зина (апрессин, или гидралазин; VIII) и нитропруссид натрия Na2[Fe(CN)5NO].

К неизбирательным миотропным спазмолитическим средствам относят, напр., сложные эфиры и тиоэфиры карбоновых к-т [тифен (С6Н5)2 CHC(O)S(CH2)2 N(C2H5)2, дипрофен (C6H5)2CHC(O)S(CH2)2N(C3H7)2, ганглерон (IX)], производные изохинолина (папаверин, но-шпа; X), имидазола (дибазол), бензофурана (феникаберан; XI), фурохромона (келлин; XII), циклогептана (галидор; XIII) и пурина. Последние включают пуриновые алкалоиды теобромин (XIV; R = H, R' = CH3) и теофиллин (XIV; R = CH3, R' = H), а также темисал-смесь теобромин-натрия (XV) с салициловой к-той, нигексин - смесь гексилтеобромина (XIV; R = C6H13, R' = CH3) с никотиновой к-той, эуфиллин-смесь теофиллина с 1,2-этилендиамином, дипрофиллин [XIV; R = СН3, R' = СН2СН(ОН)СН2ОН], пентоксифиллин [XIV; R = СН2(СН2)3С(О)СН3, R' = СН3], ксантинола ни-котинат и др.

Спазмолитические средства используют для лечения сердечно-сосудистых, желудочно-кишечных, бронхолегочных, урологич. и др. заболеваний как самостоятельно, так и в комбинациях между собой и с др. препаратами. Г. Я. Шварц.