Желчные кислоты

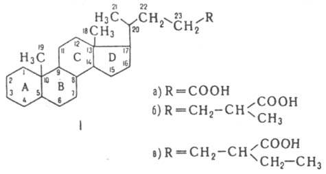
ЖЕЛЧНЫЕ КИСЛОТЫ, монокарбоновые гидроксикислоты, относящиеся к классу стероидов. Почти все желчные кислоты - производные прир. холановой к-ты (ф-ла Iа).
121_140-57.jpg
Наиб. распространены ее моно-, ди- и тригидроксизамещенные, содержащие 24 атома С; известны также ди-, три- и тетрагидроксизамещенные желчные кислоты, содержащие 27 (Iб) и 28 (Iв) атомов С. Положение заместителей, расположенных под или над плоскостью молекулы, обозначают соотв. буквами a и b. Желчные кислоты - кристаллы; плохо раств. в воде (см. табл.). Образование желчных кислот происходит гл. обр. в печени нек-рых птиц, млекопитающих и человека из холестерина. Биосинтез желчных кислот из холестерина включает след. р-ции: гидроксилирование по атомам углерода колец В и С, инверсию 3b- в 3a-гидроксигруппу, восстановление двойной связи при атоме С-5 с получением цис-сочленения колец А и В, окислит. отщепление изопропильной группы в боковой цепи с образованием карбоксильной при атоме С-24.
121_140-58.jpg
Для млекопитающих характерно наличие в молекуле желчных кислот 24, для земноводных - 27 атомов С. В желчи человека содержатся хенодезоксихолевая, холевая и дезоксихолевая к-ты (соотв. 45, 31 и 24% от общего кол-ва желчных кислот); в желчи быка - гл. обр. холевая и дезоксихолевая к-ты (30 и 10% соотв.). Желчные кислоты содержатся в желчи в виде щелочных солей т. наз. конъюгатов - соединений желчных кислот с таурином или глицином. Так, для холевой к-ты конъюгаты - гликохолевая к-та (в ф-ле I R = CONHCH2COOH) и таурохолевая к-та (R = = CONHCH2CH2SO3H). Натриевые соли желчных кислот - хорошие эмульгаторы; эмульгируя жиры, они способствуют их всасыванию и перевариванию. Важную роль при этом играют, в частности, р-римые комплексы дезоксихолевой к-ты с жирами и жирными к-тами (холеиновые к-ты). Желчные кислоты получают щелочным гидролизом твердого в-ва желчи: нагревают желчь с 5-10%-ным р-ром КОН или NaOH в автоклаве при 120-160°С в течение 8-16 ч, затем подкисляют разб. НСl и экстрагируют эфиром или этилацетатом. На основе прир. желчных кислот осуществлен синтез разл. гидрокси- и оксопроизводных холановой к-ты. Так, дегидратация холевой к-ты при нагр. в вакууме или при действии ZnCl2 в ацетоне приводит к апохолевой к-те [3,12-дигидрокси-5b-хола-8(14)-ен-24-овая к-та], из к-рой м. б. получены холеиновые к-ты. Желчные кислоты применяют для синтеза кортикостероидов и в медицине в качестве лек. препаратов, растворяющих и предотвращающих образование желчных камней (напр., хенодезоксихолевая к-та и ее Mg-соль, урсодезоксихолевая к-та, этиловый эфир 3,7,12-тригидроксихолановой к-ты).

Литература
Физер Л., Физер М., Стероиды, пер. с англ.. М., 1964; Hoshita Т., Kazuno Т., Chemistry and metabolism of bile alcohols and higher bile acids, в кн.: Advances in lipid research, v. 6, N.Y. L., 1968, p. 207 54; The bile acids, ed. by P.P. Nair, D. Kritchevsky, v. 1 3, N.Y.-L., 1971-76; Haslewood G.A.D., The biological importance of bile salts, Amst. N.Y. Oxf., 1978; Negwer M., Organised chemische Arzneimittel und ihre Synonyma. 5 Aufl. Bd. 1-3, В., 1978.
Г. С. Гриненко.

Синонимы/примеры:* Холевая кислота; хенодезоксихолевая кислота; дезоксихолевая кислота; литохолевая кислота
*подобраны ИИ, возможны неточности